Instantaneous Frequency Estimation of Nonstationary Jammer Based on TVAR for DSSS

Na Liang and Jining Feng

Abstract

Abstract: Direct-sequence spread-spectrum receivers are sensitive to nonstationary jammers, and instantaneous frequency (IF) estimation is an important component of antijamming. Time-varying autoregressive (TVAR) parametric modeling time–frequency analysis avoids the limitation of resolution by observation time and has the advantage of high time–frequency resolution. However, the performance of the TVAR model for IF estimation is affected by such factors as basis functions. To address this problem, the TVAR model of nonstationary signals was studied, and the performances of TVAR models with different basis functions for IF estimation of linear frequency modulation (LFM) and nonlinear frequency modulation (NLFM) jammers were investigated. Conclusions were drawn, and the optimal basis for the TVAR model used for IF estimation of LFM and NLFM jammers was obtained. The results provide a basis for applying of the TVAR model to nonstationary jammers.

Keywords: Basis Function , DSSS , Instantaneous Frequency Estimation , Parameter Estimation , TVAR

1. Introduction

Nonstationary jammers are important in direct-sequence spread-spectrum (DSSS) communication. Nonstationary jammer suppression has been a popular area of research for several years [13]. Estimating instantaneous frequency (IF) based on the Cohen class time–frequency distribution has always been a research focus [4-7]. This method has drawbacks, such as complex and heavy calculation, slow convergence, and a crossover term. The short-time Fourier transform is also an important method for estimating IF; however, this method has poor estimation accuracy for variable nonstationary jammers [8] and is limited by the Heisenberg uncertainty principle. It does not consider both time resolution and frequency resolution [9,10]. High-resolution frequency estimates [11-14] can be obtained using the time-varying autoregressive (TVAR) model, and the calculation of its parameters can be based on the recursive least-squares technique, which has lower computational complexity [15]. The authors of [15] applied TVAR on a polynomial basis to frequency modulation (FM) jammer suppression in direct-spectrum systems and achieved satisfactory results. The basis functions commonly used in TVAR models include the Fourier and Legendre functions. Different basis functions and parameter selections inevitably affect the performance of TVAR models in estimating the IF of a DSSS nonstationary jammer. To solve this problem, the performances of three basic function TVAR models (polynomial, Fourier, and Legendre) for estimating the linear frequency modulation (LFM) and nonlinear frequency modulation (NLFM) jammer IFs were studied through simulations, and relevant conclusions were obtained.

2. Principle of Jammer Suppression based on TVAR IF Estimation

The basic principle of jammer suppression based on the TVAR DSSS model is shown in Fig. 1. IF estimation based on the TVAR model is transferred to the notch to complete the jammer suppression. Accurately estimating IF is crucial for jammer suppression effectiveness.

Fig. 1.
Schematic diagram of jammer suppression based on TVAR, where r(n) is the IF signal and y(n) is the notch output.

3. TVAR Model for Nonstationary Signals

The order p nonstationary TVAR model x(n) is [15]:

(1)
[TeX:] $$x(n)=-\sum_{i=1}^p a_i(n) x(n-i)+e(n)$$

where e(n) is a zero mean, [TeX:] $$\sigma^2$$ is the variance of the stationary white noise, [TeX:] $$\left\{a_i(n), i=1,2, \cdots, p\right\}$$ are the coefficients of TVAR, and p is the order of TVAR model.

The TVAR [TeX:] $$a_i(n)$$ model is time varying, and [TeX:] $$a_i(n)$$ can be fitted with a set of basis functions [TeX:] $$\left\{u_k(n), k=0,1,2, \cdots, q-1\right\} .$$

(2)
[TeX:] $$a_i(n)=\sum_{k=0}^q a_{i k} u_k(n)$$

where [TeX:] $$\left\{u_k(n), k=0,1,2, \cdots, q-1\right\}$$ is a set of functions varying with time, q is the order of the basis function, and [TeX:] $$a_{ik}$$ is a constant coefficient of the expansion of the time-varying parameter [TeX:] $$a_i(n)$$ on the basis function. In addition, [TeX:] $$u_k(n)$$ from a previous report [9] is

(3)
[TeX:] $$\left\{u_k(n)=n^k\right\}_{k=0}^q$$

It is called "polynomial basis" or "time basis." Usually, a lower-order discrete Fourier basis, such as the Legendre basis [16], is optional.

The Fourier basis is

(4)
[TeX:] $$\left\{\begin{array}{l} u_k(n)=\cos (\omega n k) \quad(k \text { is even }) \\ u_k(n)=\sin (\omega n k) \quad(k \text { is odd }) \end{array}\right.$$

The Legendre basis is

(5)
[TeX:] $$\left\{\begin{array}{c} u_0(n)=1, u_1(n)=\frac{2(n-1)}{N-2}=y, u_2(n)=\frac{3 y^2-1}{2} \\ (k+1) u_{k+1}(n)=(2 k+1) \cdot y \cdot u_k(n)-k u_{k-1}(n) \end{array}\right.$$

where [TeX:] $$\omega=1 / N, N$$, N is the number of samples, and [TeX:] $$k=0,1, \cdots, q .$$

Eq. (2) is substituted into Eq. (1) to obtain the following prediction equation:

(6)
[TeX:] $$x(n)=-\sum_{i=1}^p\left(\sum_{k=0}^q a_{i k} \mathrm{u}_k(n)\right) x(n-i)+e(n)$$

Then, the minimum mean square error of a is

(7)
[TeX:] $$\left.J(n)=\sum_n\left(x(n)+\sum_{i=1}^p \sum_{k=0}^q a_{i k} u_k(n)\right) x(n-i)\right)^2$$

Based on the optimization criterion,

(8)
[TeX:] $$\sum_{i=1}^p \sum_{k=0}^q a_{i k} c_{k l}(i, j)=-c_{0 l}(0, j) \quad 0 \leq j \leq p, 1 \leq l \leq q$$

where

(9)
[TeX:] $$c_{k l}(i, j)=\sum_n u_k(n) u_l(n) x(n-i) x(n-j) \quad 0 \leq k, l \leq q$$

The coefficient vector of the basis [TeX:] $$\left[a_{10}, a_{11}, \cdots, a_{1 q-1}, a_{20}, a_{21}, \cdots, a_{2 q-1}, \cdots, a_{p 0}, a_{p 1}, \cdots, a_{p q-1}\right]=\theta$$ and θ [16] can be solved by the recursive least-squares method.

After θ is obtained, the fitted [TeX:] $$\hat{a}_i(n)$$ of the TVAR model coefficients can be obtained from Eq. (2) by calculating the polynomial:

(10)
[TeX:] $$1+\sum_{i=1}^p \hat{a}_i(n) z^{-i}$$

The time-varying extreme can be obtained: [TeX:] $$z_i(n), i=1,2, \cdots, p .$$ Then, the IF f(n) is

(11)
[TeX:] $$f(n)=\frac{\operatorname{ang}\left[z_i(n)\right]}{2 \pi} \cdot f_s \quad\left|z_i(n)\right| \approx 1$$

where [TeX:] $$f_s$$ is the sampling rate.

4. Simulation and Analysis of IF Estimation for LFM Jammer

The accuracy of IF estimation is related to the order of the TVAR model, the basis, and the order of the basis. For the FM jammer, Shan deduced the basis for choosing the order of the TVAR model [9]; however, the selection of the basis function and its order requires further study. For typical unstable jammer LFM and NLFM, the performances of the polynomial basis, Fourier basis, and Legendre basis were compared through simulation.

The DSSS received signal is

(12)
[TeX:] $$r(t)=s(t)+j(t)+n(t)$$

where s(t) is a spread-spectrum signal with a bandwidth of 20.46 MHz, n(t) is a zero mean, the variance of [TeX:] $$\sigma_n^2$$ is Gaussian white noise, the signal-to-noise ratio is −32 dB, and the sampling rate is 60 MHz. The LFM jammer j(t) is

(13)
[TeX:] $$j(t)=\sqrt{2 P_j} \cos \left(2 \pi\left(f_0 t+\frac{1}{2} f_{\Delta} t^2\right)\right)$$

where [TeX:] $$P_j$$ is the power of the jammer, [TeX:] $$f_0=42 \mathrm{MHz}$$ is the center frequency of the LFM jammer, and [TeX:] $$f_{\Delta}=500 \mathrm{kHz} / \mathrm{ms}$$ is the frequency modulation. The sampling rate is 62 MHz, and the TVAR model is second order [15]. Fig. 2 shows the time–frequency characteristics of the LFM jammer.

Fig. 2.
(a) The waveform and (b) IF diagram of LFM jammer.

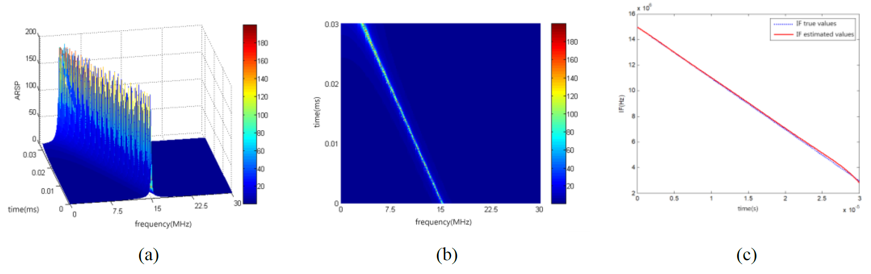
Fig. 3(a) and 3(b) show the 3D and 2D time–frequency spectra of the polynomial basis TVAR, respectively, with a jamming-to-noise ratio (JNR) of 20 dB. Fig. 3(c) shows a comparison of the true and estimated IFs at a JNR of 20 dB.

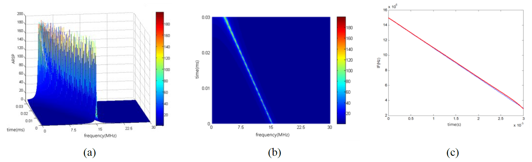
Fig. 4(a) and 4(b) show the 3D and 2D time–frequency spectra of the Fourier-basis TVAR model, respectively, with a JNR of 20 dB. Fig. 4(c) shows a comparison of the true and estimated IFs at a JNR of 20 dB.

Fig. 5(a) and 5(b) show the 3D and 2D time–frequency spectra of the Legendre basis TVAR model, respectively, with a JNR of 20 dB. Fig. 5(c) shows a comparison of the true and estimated IFs at a JNR of 20 dB.

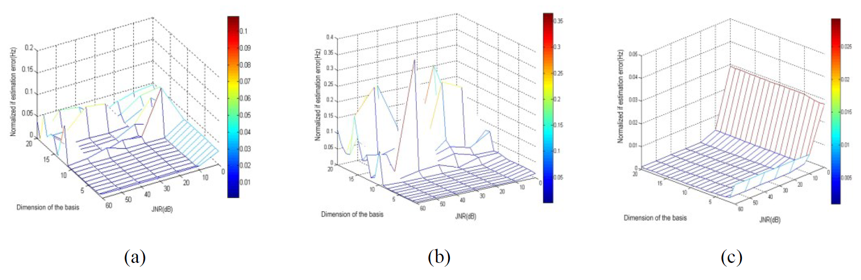
Comparing Figs. 3–5 reveals that the time–frequency resolutions of the TVAR models based on the three basis functions are good, the instantaneous estimation accuracies are high, and the convergence speeds of the three basis functions are very close when the JNR is 20 dB. Three basis functions were obtained after 100 Monte Carlo simulations. The relationship between the average error of the IF estimation and the JNR and its order is shown in Fig. 6.

Fig. 3.
Time–frequency spectrum estimated by polynomial basis TVAR model: (a) 3D image, (b) 2D image, and (c) true and estimated IF.
Fig. 4.
Time–frequency spectrum estimated by Fourier basis TVAR model: (a) 3D image, (b) 2D image, and (c) true and estimated IF.
Fig. 5.
Time–frequency spectrum estimated by Legendre basis TVAR model: (a) 3D image, (b) 2D image, and (c) true and estimated IF.
Fig. 6.
Average IF estimation error (normalized to sampling rate): (a) polynomial basis, (b) Fourier basis, and (c) Legendre basis.

Based on the simulation results, the following conclusions were drawn for estimating the IF of an LFM jammer.

1) Parametric modeling time–frequency analysis avoids the limitation of the resolution by observation time, has the advantage of high time–frequency resolution, and has good tracking performance and time–frequency energy concentration at high JNR ratios.

2) When the polynomial basis is fitted after the dimension is greater than 10, the error in the IF estimation is large. The expression for the polynomial base indicates that, when the base dimension is 1, the polynomial base is constant 1, so when the base dimension is low, the fitting accuracy of the time-varying parameters is poor. When the JNR is less than 20 dB, the IF estimation error starts to worsen significantly, indicating that the polynomial basis has relatively poor noise resistance.

3) When the Legendre dimension is less than 20, there is no fit. As with the polynomial basis, the Legendre base is constant at 1 when the base dimension is 1, therefore, the fitting of the time-varying parameters is not sufficient when the base dimension is low. Thus, the accuracy of IF estimation is poor. When the JNR is less than 10 dB, the error in IF estimation does not change significantly, and its noise resistance is better than that of the polynomial basis.

4) If the dimension of the Fourier basis is greater than 10, overfitting occurs, which increases the error in IF estimation. When the dimensions of the base are low, the fit of the Fourier basis is better than that of the polynomial and Legendre bases. When the JNR is less than 10 dB, the IF estimation error of the Fourier basis is smaller than those of the polynomial and Legendre bases, indicating that it has better noise resistance than the polynomial and Legendre bases.

The analysis results reveal that the three basis functions have good tracking performance and time-frequency energy concentration at a higher JNR. The Fourier basis has a better antinoise ability at a lower JNR, and a lower dimension can be chosen to fit the time-varying parameters. It is more suitable for engineering implementation based on the calculation amount; therefore, the performance of the Fourier basis is optimal when it is considered comprehensively. In addition, when the JNR is less than 0 dB, none of the three basic function TVAR models converge; therefore, the TVAR model can only be used to estimate the IF steadily when the JNR is greater than 0 dB.

5. Simulation and Analysis of IF Estimation for NLFM Jammer

To compare the performances of the three bases further, the TVAR model was used to estimate the IF of the NLFM jammer. The other simulation conditions were the same as those described in Section 3. The form of the NLFM jammer signal is

(14)
[TeX:] $$J(t)=\sqrt{2 P_J} \cos \left(2 \pi\left(f_0 t+f_{\Delta} t^3\right)\right)$$

where [TeX:] $$P_j$$ is the jammer power, the center frequency [TeX:] $$f_0=45 \mathrm{MHz}$$, and [TeX:] $$f_{\Delta}=800 \mathrm{GHz} / \mathrm{ms}$$

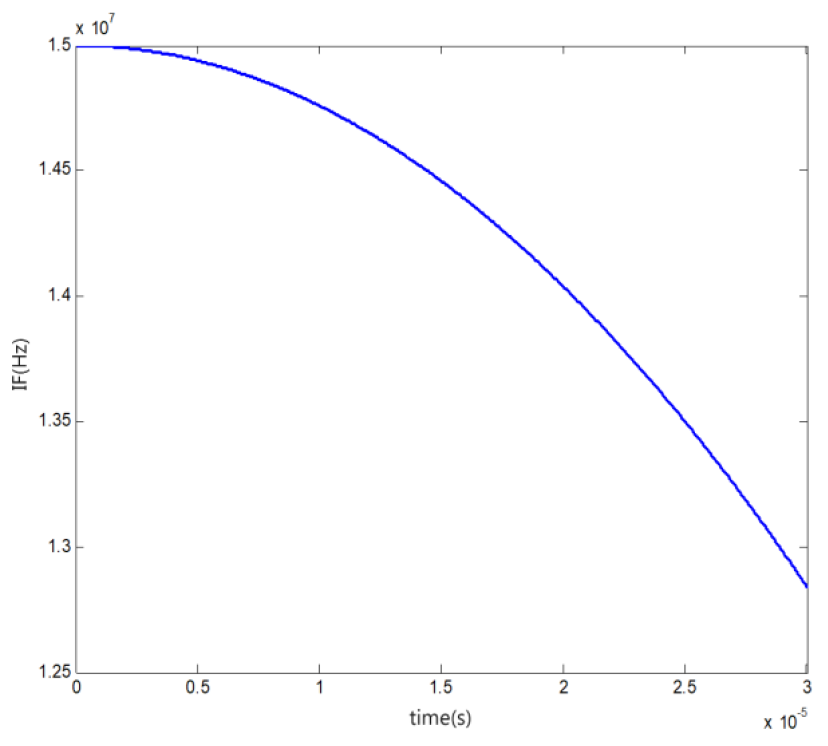
Fig. 7 shows the waveform of the NLFM jammer with JNR = 20 dB, and Fig. 8 shows the IF of the NLFM jammer.

Fig. 7.
The waveform of NLFM jammer.
Fig. 8.
The IF of NLFM jammer.

Fig. 9(a) and 9(b) show the 3D and 2D time–frequency spectra of the polynomial basis TVAR model, respectively, where the JNR is 20 dB, and the dimension of the basis function are 4. Fig. 9(c) shows a comparison of the true and estimated IFs at a JNR of 20 dB.

Fig. 10(a) and 10(b) show the 3D and 2D time–frequency spectra of the Fourier basis TVAR model, respectively, where the JNR is 20 dB, and the dimensions of the basis function are 4. Fig. 10(c) shows a comparison of the true and estimated IFs at a JNR of 20 dB.

Fig. 11(a) and 11(b) show the 3D and 2D time–frequency spectra of the Legendre basis TVAR model, respectively, where the JNR is 20 dB, and the dimensions of the basis function are 4. Fig. 11(c) shows a comparison of the true and estimated IFs at a JNR of 20 dB.

Fig. 9.
Time–frequency spectrum of NLFM estimated by polynomial basis TVAR model: (a) 3D image, (b) 2D image, and (c) true and estimated IF.
Fig. 10.
Time–frequency spectrum of NLFM estimated by Fourier basis TVAR model: (a) 3D image, (b) 2D image, and (c) true and estimated IF.
Fig. 11.
Time–frequency spectrum of NLFM estimated by Legendre basis TVAR model: (a) 3D image, (b) 2D image, and (c) true and estimated IF.

Fig. 12 shows the relationship between the IF estimation mean square error of the three basis function TVAR models, and the dimensions and dry-noise ratios of the base function relative to the normalized value of the system bandwidth from 120 Monte Carlo simulations.

Comparing the simulation results of the TVAR model for the IFs of the LFM and NLFM jammers reveals that the TVAR model is not sensitive to the NLFM jammer and can still estimate the IFs of the NLFM jammer very well. From the simulation results for the NLFM jammer, the same conclusions can be drawn as those for the LFM jammer.

Fig. 12.
Average IF estimation error for NLFM signal (normalized to sampling rate): (a) polynomial basis, (b) Fourier basis, and (c) Legendre basis.

6. Conclusion

The performances of the polynomial, Fourier, and Legendre basis functions of the TVAR model were compared for IF estimation of LFM and NLFM signals. TVAR time–frequency analysis avoids the limitation of observation time and has the advantage of high time–frequency resolution. The three bases have good tracking performance and time–frequency energy concentrations at a high JNR.

Based on the antinoise ability, tracking performance, and ability to fit the TVAR parameters, the optimal Fourier basis function can be obtained. The simulation results show that the TVAR model can only work stably when the JNR is greater than 0 dB. The TVAR model is insensitive to NLFM signals and exhibits the same performance in estimating the IFs of NLFM and LFM jammers.

Conflict of Interest

The authors declare that they have no competing interests.

Funding

This paper is funded by Major Science and Technology Project of Hebei Province (No. 23284503Z).

Biography

Na Liang
https://orcid.org/0009-0006-8287-8694

She received B.S. degree in Measurement and Control Technology and Instruments from Hebei University of Science and Technology in 2004, M.S. degree in Control Theory and Control Engineering from North China Electric Power University in 2008. She is currently the deputy director of the Training Technology and Equipment Management Center, Shijiazhuang College of Applied Technology. Her research interests include control, communication and signal processing.

Biography

Jining Feng
https://orcid.org/0000-0003-0577-5334

He received B.S. degree in Department of Electronic Engineer from Hebei Normal University in 2001, M.S. degree in information science from Yanshan University in 2004, and Ph.D. degree in information science from Beijing Institute Technology in 2009. He is currently a professor in the College of Computer and Cyber Security of Hebei Normal University, Shijiazhuang, China. His research interests include communication and signal processing.

References

  • 1 X. Chen and W. Yang, "Blind jamming detection based on time variant whitener for DSSS systems," Systems Engineering and Electronics, vol. 43, no. 7, pp. 1981-1988, 2021. https://doi.org/10.12305/j.issn.1001-506X. 2021.07.30doi:[[[10.12305/j.issn.1001-506X.2021.07.30]]]
  • 2 C. Han, Y . Niu, Z. Xia, and T. Pang, "Detection algorithm and anti-jamming method for linear sweeping jamming with low complexity," Application Research of Computers, vol. 37, no. 1, pp. 267-270, 2020. https://doi.org/10.19734/j.issn.1001-3695.2018.05.0449doi:[[[10.19734/j.issn.1001-3695.2018.05.0449]]]
  • 3 M. Hu, S. Chen, Y . Li, and X. Yuan, "Influence of repeated frequency UWB electromagnetic pulse on GPS navigation receiver," High Power Laser and Particle Beams, vol. 36, no. 3, article no. 033011, 2024. https://dx.doi.org/10.11884/HPLPB202436.230324doi:[[[10.11884/HPLPB36.230324]]]
  • 4 L. Shi, C. Yang, M. Wang, and B. Xu, "Recognition method of radar signal modulation method based on deep network," Journal of Ordnance Equipment Engineering, vol. 42, no. 6, pp. 190-193, 2021. https://doi. org/10.11809/bqzbgcxb2021.06.033custom:[[[-]]]
  • 5 L. Guo, Y . Hu, Y . Wang, and S. Xu, "Laser micro-motion parameter estimation of high-order moving target based on improved particle filter," Acta Optica Sinica, vol. 38, no. 9, pp. 223-229, 2018. https://doi.org/10.37 88/AOS201838.0912006doi:[[[10.3788/AOS201838.091]]]
  • 6 X. Chen, Y . Huang, J. Guan, W. Song, and Y . Xue, "A review of long-time integration techniques for weak targets using MIMO radar," Journal of Signal Processing, vol. 36, no. 12, pp. 1947-1964, 2020. https://doi.org/10.16798/j.issn.1003-0530.2020.12.001doi:[[[10.16798/j.issn.1003-0530.2020.12.001]]]
  • 7 X. Qin, J. Huang, X. Cha, L. Luo, and D. Hu, "Radar emitter signal recognition based on dilated residual network," Acta Electronica Sinica, vol. 48, no. 3, pp. 456-462, 2020. http://dianda.cqvip.com/Qikan/Article/ Detail?id=7101546913custom:[[[-]]]
  • 8 H. Yan, D. Li, and L. Ding, "A New Time-frequency Analysis Approach Based on Short Time Fourier Transform," Acta Armamentarii, vol. 36, no. S2, pp. 258-261, 2015.custom:[[[-]]]
  • 9 D. G. Xu, N. P. Cheng, and H. Zhou, "Linear frequency modulation interference suppressing in DSSS system based on BFT and FRFT," Journal on Communications, vol. 31, no. S1, pp. 137-142, 2010.custom:[[[-]]]
  • 10 C. S. Pang, L. Liu, and T. Shan, "Time-frequency analysis method based on short-time fractional Fourier transform," Acta Electronica Sinica, vol. 42, no. 2, pp. 347-352, 2014. https://doi.org/10.3969/j.issn.03722112.2014.02.021doi:[[[10.3969/j.issn.03722112.2014.02.021]]]
  • 11 L. Yu, Y . Zhang, M. Yuan, and R. Liu, "Recursive estimation method for time-varying modal parameters of missiles based on time-varying autoregressive moving average model of functional series," Acta Armamentarii, vol. 41, no. 11, pp. 2189-2197, 2020.custom:[[[-]]]
  • 12 X. Lu, S. Jin, L. Hong, and F. Dai, "Target micro-Doppler analysis of TV AR model based on clustering," Systems Engineering and Electronic, vol. 45, no. 3, pp. 660-668, 2023. https://doi.org/10.12305/j.issn.1001506x.2023.03.06doi:[[[10.12305/j.issn.1001506x.2023.03.06]]]
  • 13 Y . Hu, J. Li, Z. Zhang, W. Jing, and C. Gao, "Parametric modeling of hypersonic ballistic data based on time varying auto-regressive model," Science China Technological Sciences, vol. 63, no. 8, pp. 1396-1405, 2020. https://doi.org/10.1007/s11431-020-1652-4doi:[[[10.1007/s11431-020-1652-4]]]
  • 14 A. K. Samanta, A. Routray, S. R. Khare, and A. Naha, "Direct estimation of multiple time-varying frequencies of non-stationary signals," Signal Processing, vol. 169, article no. 107384, 2020. https://doi.org/10.1016/j.si gpro.2019.107384doi:[[[10.1016/j.sigpro.2019.107384]]]
  • 15 P. Shan and A. A. Beex, "FM interference suppression in spread spectrum communications using timevarying autoregressive model based instantaneous frequency estimation," in Proceedings of 1999 IEEE International Conference on Acoustics, Speech, and Signal Processing (Cat. No. 99CH36258), Phoenix, AZ, USA, 1999, pp. 2559-2562. https://doi.org/10.1109/ICASSP.1999.760653doi:[[[10.1109/ICASSP.1999.760653]]]
  • 16 H. Y . Wang, T. S. Qiu, and Z. Chen, Non-stationary Random Signal Analysis and Processing, 2nd ed. Beijing, China: National Defense Industry Press, 2008.custom:[[[-]]]
Schematic diagram of jammer suppression based on TVAR, where r(n) is the IF signal and y(n) is the notch output.
(a) The waveform and (b) IF diagram of LFM jammer.
Time–frequency spectrum estimated by polynomial basis TVAR model: (a) 3D image, (b) 2D image, and (c) true and estimated IF.
Time–frequency spectrum estimated by Fourier basis TVAR model: (a) 3D image, (b) 2D image, and (c) true and estimated IF.
Time–frequency spectrum estimated by Legendre basis TVAR model: (a) 3D image, (b) 2D image, and (c) true and estimated IF.
Average IF estimation error (normalized to sampling rate): (a) polynomial basis, (b) Fourier basis, and (c) Legendre basis.
The waveform of NLFM jammer.
The IF of NLFM jammer.
Time–frequency spectrum of NLFM estimated by polynomial basis TVAR model: (a) 3D image, (b) 2D image, and (c) true and estimated IF.
Time–frequency spectrum of NLFM estimated by Fourier basis TVAR model: (a) 3D image, (b) 2D image, and (c) true and estimated IF.
Time–frequency spectrum of NLFM estimated by Legendre basis TVAR model: (a) 3D image, (b) 2D image, and (c) true and estimated IF.
Average IF estimation error for NLFM signal (normalized to sampling rate): (a) polynomial basis, (b) Fourier basis, and (c) Legendre basis.