Efficient Detectors for Uplink Massive MIMO Systems

Mahmoud A. Albreem , Saeed Abdallah , Khawla A. Alnajjar and Mahmoud Aldababsa

Abstract

Abstract: Massive multiple-input multiple-output (MIMO) is one of the essential technologies in beyond fifth generation (B5G) communication systems due to its impact in attaining high power efficiency and spectrum efficiency. The design of low-complexity detectors for massive MIMO continues to attract significant research and industry attention due to the critical need to find the right balance between performance and computational complexity, especially with a large number of antennas at both the transmitting and receiving sides. It has been noticed in several recent studies that appropriate initialization of iterative data detection techniques plays a crucial role in both the performance and the computational complexity. In this article, we propose three efficient initialization methods that achieve a favorable balance between performance and complexity. Instead of using the conventional diagonal matrix, we employ the scaled identity matrix, the stair matrix, and the band matrix with the first iteration of the Newton method to initialize the accelerated overrelaxation (AOR), the successive overrelaxation (SOR), the Gauss-Seidel (GS), the Jacobi (JA), and the Richardson (RI) based detectors. The scaling factor depends on the minimum and maximum eigenvalues of the equalization matrix. The proposed detectors are tested with different massive MIMO configurations, different modulation schemes (QPSK, 16QAM and 64QAM), and perfect and imperfect channel state information (CSI). Using simulations, we show that the proposed detectors achieve a significant performance gain compared to the minimum meansquared error (MMSE) based detector, the conventional linear massive MIMO detectors, and other existing detectors, at a remarkable complexity reduction.

Keywords: Acceleration overrelaxation , B5G , Gauss-Seidel , Jacobi , massive MIMO , Newton iteration , Richardson , successive overrelaxation

I. INTRODUCTION

AN ever-expanding growth in the demand for reliable, high data rate, ubiquitous, and high capacity wireless communication is driving the development of technologies and solutions to support beyond-fifth-generation (B5G) wireless systems [1]. These systems are expected to provide increasing mobile users with reliable, ultra-high data rates and ultralow latency connections to support a plethora of envisioned applications such as immersive reality and remote health care. They are also expected to effectively handle highly dense, highly heterogeneous networks that will emerge from massive device deployment in industrial, smart city, and smart home settings. Importantly, B5G systems are required to meet these demands while maintaining high energy and spectral efficiencies [2].

Massive multiple-input multiple-output (MIMO) systems [3] have been proposed as an effective solution to address many of the above challenges. By utilizing hundreds/thousands of antenna units at the base station (BS), these systems can host multiple users simultaneously and frequency resources, which can significantly enhance system efficiency [4]. The multitude of antennas creates a highly rich scattering environment, providing a considerable enhancement in the diversity and multiplexing gains compared to small-scale MIMO systems. The resulting systems can combine high reliability, high data rates, high energy efficiency, and low noise sensitivity [5].

While bringing about tangible improvements in system capacity, reliability, and energy and spectral efficiency, the transition to large-scale MIMO systems also brings forth a host of new challenges that must be addressed [6], [7]. The large number of antennas and radio frequency (RF) chains means more complex/costly hardware. Moreover, at the signal processing level, the large number of antennas and users directly impacts the dimensionality of the signal, which can drastically increase the computational complexity of basic receiver tasks such as channel estimation and data detection. Both tasks must be performed accurately and efficiently to bring to fruition the promised gains of massive MIMO systems. In the uplink, it is critical for the massive MIMO BS to accurately detect the simultaneous transmissions of a large number of users without incurring a substantial delay that would affect the system’s latency. Hence, uplink massive MIMO detection has emerged as a critical research problem, attracting substantial research efforts [8], [9].

A. Related Work
Optimal detection in the form of maximum-likelihood (ML) detection, while providing the highest accuracy, requires a high-dimensional exhaustive search, making it intractable for practical applications [ 10]. Hence, efforts have focused on developing low-complexity methods that provide the best tradeoff between performance and complexity. In classical (small-scale) MIMO, linear methods have emerged among the most promising solutions. Classical linear methods (minimum mean-squared error (MMSE) and zero-forcing (ZF) based detectors) apply an equalization matrix to the received signal to minimize the inter-link interference before performing detection on the equalized signal [ 11]. While MMSE has become the mainstay of linear detection methods for classical MIMO systems, it requires a large-dimensional matrix inversion, which is computationally costly and can potentially compromise the real-time implementation of the system [ 12]. More generally, the computation of the equalization matrix in linear methods requires the inversion of the Gram (Gramian) matrix. This inversion becomes more computationally demanding as the system size increases. Moreover, the system can be illconditioned if the Gramian matrix is singular [ 9].

Thus, Research has focused on developing approximate linear methods that approach the MMSE performance at significantly lower computational complexity [13]. The work in [13] provides a detailed overview of these approximate linear methods and the related performance-complexity tradeoffs of each method. One proposed approach has been to employ approximate matrix inversion methods to approximate the inverse of the Gramian matrix iteratively. Methods that exemplify this approach include the Neumann series (NS) method [14], [15] and the Newton iteration (NI) method [16], [17]. In [17], a hybrid method was proposed whereby a small number of NI iterations (two iterations) were applied to obtain the initial estimate for the RI method. The motivation was the high complexity of high-order NI. The result was a significant enhancement in performance and a reduction of the computational complexity by an order of magnitude. A drawback of this type of method, however, is that they generally involve multiple matrix multiplications per iteration, which has non-trivial computational complexity and makes them less hardware-friendly. In addition, this type of methods suffer from a severe performance loss when the number of transmitting users approaches the number of BS antennas.

Another proposed approach that has also received attention is solving the matrix inversion as a system of linear equations. These methods start with an initial estimate, and after a number of iterations yield an output that represents the solution to the linear system. Methods that exemplify this approach include the Richardson (RI) method [18], the Jacobi (JA) method [19], the successive over-relaxation (SOR) method [20], the conjugate gradient (CG) [21], the Gauss- Siedel (GS) [22] and the accelerated over-relaxation (AOR) method [23]. One drawback of the above methods is that they may require a large number of iterations to converge, especially if users’ numbers and BS antennas’ numbers are close [24]. It has been observed in multiple studies that the related performance, convergence rate, and complexity of these methods significantly depend on their initial solution [25].

It is noteworthy that the equalization matrix is diagonally dominant [26]. Hence, most detectors in existing literature mainly exploit the diagonal matrix in their design. However, in some cases, the diagonal matrix may not be used to converge. In [27], it is shown that the convergence rate can remarkably improve by using the stair matrix in massive MIMO detectors. In [28], a massive MIMO detector based on an iterative method using the stair matrix is proposed. It was demonstrated that the detectors based on the stair and diagonal matrices have the same computational complexity level. In [25], a stair matrix was employed to compute the initial solution for the NI, GS, SOR, and RI methods. This resulted in improved convergence, enhanced performance, and lower complexity. In [29], the banded matrix accelerates the GS, JA, and SOR’s convergence rate. The banded matrix is exploited in [30] to reduce the computational complexity of the likelihood ascent search (LAS) based detector. One drawback of the above methods is their performance deterioration in an imperfect CSI environment. They also suffer from a significant performance loss when the number of transmitting antennas approaches the number of receiving antennas.

B. Contribution and Organization

Inspired by the promising results achieved in [17], [25], and [28], in this paper, we aim to improve the initialization stage due to its significant impact on the detectors’ performance-complexity profile. In the MMSE, the equalization matrix is diagonally dominant. Hence, the majority of existing detectors have utilized diagonal matrix. However, it has been observed that, in some situations, the methods that use the diagonal matrix have convergence with a slow rate or no convergence [28], [31]. Hence, this paper proposes three different initialization methods for massive MIMO uplink systems based on the scaled identity matrix, the stair matrix, and the banded matrix accompanied by the first iteration of the NI method to approximate the initial vector. The scaling parameter depends on the lower and upper eigenvalues of the equalization matrix. The output of the proposed initialization stage will be an input to the detection stage of the AOR, the SOR, the GS, the JA, and the RI iterative methods. The contributions of this work can be summarized as follows:

· We exploit the channel hardening phenomenon to propose an efficient initialization based on a scaled identity matrix and the first iteration of the NI method. The relaxation parameter [TeX:] $$(\omega)$$ is selected based on the lower and upper eigenvalues of the equalization matrix. Then the initial vector is computed based on the first iteration of the NI method.

· We also propose an efficient initialization based on a stair matrix and the first iteration of the NI method. We first compute the stair matrix inversion, which has the same complexity as the diagonal matrix inversion. After that, we approximate the equalization matrix inversion using the NI method. Then the NI formula is employed to estimate the initial vector.

· We propose an efficient initialization based on a band matrix and the first iteration of the NI method. The inverse of the band matrix is first computed and then employed to initialize the massive MIMO detectors based on the NI method.

· We conduct extensive simulations to demonstrate the proposed detectors’ performance and computational complexity in different scenarios. Several modulation schemes (16QAM and 64QAM) and massive MIMO sizes are used. Furthermore, to avoid misleading conclusions, perfect and imperfect channel state information (CSI) are considered. We show that the proposed initializations for massive MIMO detectors achieve a significant performance improvement and remarkable complexity reduction in both perfect and imperfect CSI scenarios, especially when the user terminals’ number approaches the base station (BS) antennas’ number.

The rest of this article is organized as follows: The system model is described in Section II. In Section III, we demonstrate the stair and band matrices and their properties. The proposed initialization methods for several massive MIMO detectors are presented in Section IV. Section V presents the complexity profile for all the proposed detectors in terms of multiplications’ number. In Section VI, we present, discuss, and compare our simulation results with conventional detectors and other state-of-art methods. Finally, our conclusions are presented in Section VII.

II. SYSTEM MODEL

In this paper, a massive MIMO uplink system with N antennas at BS and K single antenna users is considered where [TeX:] $$N \gg K.$$ After the transmission of modulated symbols, the received signal at the BS is given by

(1)
[TeX:] $$\mathbf{y}=\mathbf{H} \mathbf{x}+\mathbf{w},$$

where [TeX:] $$\mathbf{H} \text{ is the } N \times K$$ channel matrix, and [TeX:] $$\mathbf{w} \text { is } N \times 1$$ circularly symmetric complex additive white Gaussian noise (AWGN) vector with mean [TeX:] $$\mathbf{0}$$ and covariance matrix [TeX:] $$\sigma^2 \mathbf{I}_N.$$ In this paper, we also consider imperfect channel state information (CSI), such that the imperfect channel estimate [TeX:] $$\acute{\mathbf{H}}$$ is given as [32], [33]

(2)
[TeX:] $$\acute{\mathbf{H}}=\zeta \mathbf{H}+\sqrt{1-\zeta^2} \tilde{\mathbf{E}},$$

where [TeX:] $$\tilde{\mathbf{E}}$$ is the error matrix whose i.i.d. elements are modeled as complex Gaussian with mean 0 and variance 1, and [TeX:] $$0 \leq \zeta \leq 1.$$ The vectors [TeX:] $$\mathbf{x}=\left[x_1, x_2, \cdots, x_K\right]^T$$ and [TeX:] $$\mathbf{y}=\left[y_1, y_2, \cdots, y_N\right]^T$$ denote the vector of data symbols transmitted by the K users and the corresponding received signal vector at the BS, respectively. The main objective of the massive MIMO detector is to estimate [TeX:] $$\mathbf{x}.$$ While many massive MIMO detection techniques exist in the literature, this work focuses on linear detectors due to their simplicity and low complexity.

A. Linear MMSE Data Detection
The massive MIMO detector based on the MMSE is given as

(3)
[TeX:] $$\hat{\mathbf{x}}=\left(\mathbf{H}^H \mathbf{H}+\sigma^2 \mathbf{I}_K\right)^{-1} \mathbf{H}^H \mathbf{y}=\mathbf{W}^{-1} \mathbf{b},$$

where [TeX:] $$\mathbf{b}=\mathbf{H}^H \mathbf{y}$$ is the matched-filter output and [TeX:] $$\mathbf{W}=\mathbf{H}^H \mathbf{H}+\sigma^2 \mathbf{I}_K$$ represents the MMSE equalization matrix. On the other hand, in the zero-forcing (ZF) based detector, the noise effects are ignored, and the signal is estimated as

(4)
[TeX:] $$\hat{\mathbf{x}}=\mathbf{G}^{-1} \mathbf{b},$$

where [TeX:] $$\mathbf{G}=\mathbf{H}^H \mathbf{H}$$ is the Gram matrix or Gramian. Unlike the ZF detector, the MMSE equalization matrix considers the noise effects and achieves higher performance gains. Notably, the Gramian matrix is invertible in massive MIMO [26]. As obvious from (3) and (4), both the ZF and MMSE based detectors include a matrix inversion, which is not desirable in hardware implementations, particularly for large N and K. Therefore, iterative methods have been proposed to approximate or avoid matrix inversion. Although these methods achieve a reasonable performance when [TeX:] $$N \gg K,$$ their performance tends to deteriorate as K approaches N. In addition, a large number of iterations is often required, which leads to increased computational complexity.

B. Newton Iteration Method
In the Newton iteration (NI) method, we obtain an approximate estimate of the matrix inverse [TeX:] $$\mathbf{W}^{-1}$$ through n iterations. If [TeX:] $$\mathbf{X}^{(0)}$$ is the initial estimate of [TeX:] $$\mathbf{W}^{-1},$$ then the nth iteration estimate is

(5)
[TeX:] $$\mathbf{X}^{(n)}=\mathbf{X}^{(n-1)}\left(2 \mathbf{I}-\mathbf{W} \mathbf{X}^{(n-1)}\right) .$$

It should be noted that the selection of [TeX:] $$\mathbf{X}^{(0)}$$ plays a crucial role in the convergence rate and the computational complexity of the NI method. A common choice is [TeX:] $$\mathbf{X}^{(0)}=\mathbf{D}^{-1}$$ where [TeX:] $$\mathbf{D}$$ is the diagonal matrix [16]. Equation (5) converges quadratically to [TeX:] $$\mathbf{W}^{-1}$$ if

(6)
[TeX:] $$\left\|\mathbf{I}-\mathbf{W} \mathbf{X}^{(0)}\right\|\lt 1.$$

The signal in (3) can be estimated as

(7)
[TeX:] $$\hat{\mathbf{x}}=\left(\mathbf{D}^{-1}-\mathbf{D}^{-1} \mathbf{E} \mathbf{D}^{-1}\right) \mathbf{b},$$

where [TeX:] $$\mathbf{E}$$ consists of the off-diagonal entries of [TeX:] $$\mathbf{W}$$.

C. Data Detection based on Iterative Methods

The NI based detector has a high complexity due to the large number of iterations needed to converge. Hence, alternative methods such as the AOR, the SOR, the GS, the JA, and the RI have been proposed to detect the signal without the explicit computation of [TeX:] $$\mathbf{W}^{-1}$$.

The AOR is a stationary iterative method for solving linear systems where the signal can be estimated as

(8)
[TeX:] $$\begin{aligned} \hat{\mathbf{x}}^{(n)}= & (\mathbf{D}-\gamma \mathbf{U})^{-1}[(1-\omega) \mathbf{D}+(\omega-\gamma) \mathbf{U}+\omega \mathbf{L}] \hat{\mathbf{x}}^{(n-1)} \\ & +\omega(\mathbf{D}-\gamma \mathbf{U})^{-1} \mathbf{b}, \end{aligned}$$

where [TeX:] $$\mathbf{U} \text { and } \mathbf{L}$$. are the strictly upper diagonal matrix, and strictly lower diagonal matrix, respectively. Moreover, ω is the relaxation parameter, and γ is the acceleration parameter, and both are related to the eigenvalues of equalization matrix [34], [35]. Furthermore, based on [TeX:] $$\omega \text { and } \gamma$$, the AOR method is reduced to the JA, GS, and SOR methods as:

[TeX:] $$\begin{cases}\text { JA method: } & \gamma=0, \omega=1, \\ \text { GS method: } & \gamma=\omega=1, \\ \text { SOR method: } & \gamma=\omega.\end{cases}$$

When [TeX:] $$\gamma = \omega$$, a detector based on the SOR method can estimate the signal as

(9)
[TeX:] $$\hat{\mathbf{x}}^{(n)}=(\mathbf{D}-\omega \mathbf{L})^{-1}[\omega \mathbf{U}+(1-\omega) \mathbf{D}] \hat{\mathbf{x}}^{(n-1)}+(\mathbf{D}-\omega \mathbf{L})^{-1} \omega \mathbf{b}.$$

When [TeX:] $$\omega = 1,$$ a detector based on the GS method can estimate the signal as

(10)
[TeX:] $$\hat{\mathbf{x}}^{(n)}=(\mathbf{D}-\mathbf{L})^{-1} \mathbf{U} \hat{\mathbf{x}}^{(n-1)}+(\mathbf{D}-\mathbf{L})^{-1} \mathbf{b} .$$

When [TeX:] $$\gamma=0, \omega=1 \text {, }$$ a detector based on the JA method can estimate the signal as

(11)
[TeX:] $$\hat{\mathbf{x}}^{(n)}=\mathbf{D}^{-1}(\mathbf{L}+\mathbf{U}) \mathbf{x}^{(n-1)}+\mathbf{D}^{-1} \mathbf{b},$$

which holds if

(12)
[TeX:] $$\lim _{n \rightarrow \infty}\left(\mathbf{I}-\mathbf{D}^{-1} \mathbf{W}\right)^n=0 .$$

In (12), the condition is realized with very high probability in massive MIMO systems [36]. In parallel computing platforms, the JA method can be easily implemented [37]. However, the JA method is neither robust nor as fast as the GS and SOR methods in sequential computing platforms.

Another iterative method to achieve the MMSE performance is the RI method. Although it has a low complexity, the performance-complexity profile of the RI iterative method is very sensitive to the value of the relaxation parameter [TeX:] $$(\omega)\text {. }$$ The signal in the RI method is estimated as

(13)
[TeX:] $$\hat{\mathbf{x}}^{(n)}=\mathbf{x}^{(n-1)}+\boldsymbol{\omega}\left(\mathbf{b}-\mathbf{W} \mathbf{x}^{(n-1)}\right) .$$

For the iterative methods, if the spectral radius [TeX:] $$\rho\left(\mathbf{I}-\mathbf{D}^{-1} \mathbf{G}\right)\lt 1$$ is satisfied, the method is convergent for all initial vectors. However, a smaller spectral radius leads to faster convergence. Therefore, the selection of the initial estimate [TeX:] $$\left(\hat{\mathbf{x}}^{(0)}\right)$$ impacts the number of iterations needed to detect the signal, and accordingly, the computational complexity. In most iterative methods, it is common to set the initial estimate [16] as

(14)
[TeX:] $$\hat{\mathbf{x}}^{(0)}=\mathbf{D}^{-1} \mathbf{b} \text {. }$$

III. STAIR AND BAND MATRICES AND THEIR PROPERTIES

As the equalization matrix in MMSE is diagonally dominant, the diagonal matrix has conventionally played a key role in formulating most approximate inversion methods and iterative methods for massive MIMO detection. Several recent works, however, have established the merit of other formulations, such as the band matrix [30] and the stair matrix [28]. Both types of matrices will play essential roles in the efficient initialization techniques proposed in our work. It is thus worth introducing these types of matrices and their properties in this section.

A. Stair Matrix and Its Properties

Definition 1: A stair matrix [TeX:] $$(\mathbf{S})$$ is a special tri-diagonal matrix where one of conditions below is fulfilled:

- Type I: [TeX:] $$\mathbf{S}_{(i, i-1)}=0, \mathbf{S}_{(i, i+1)}=0,$$ where [TeX:] $$i=1,3, \cdots, 2\left\lfloor\frac{K-1}{2}\right\rfloor+1,$$

- Type II: [TeX:] $$\mathbf{S}_{(i, i-1)}=0, \mathbf{S}_{(i, i+1)}=0,$$ where [TeX:] $$i=2,4, \cdots, 2\left\lfloor\frac{K}{2}\right\rfloor .$$

In other words, [TeX:] $$\mathbf{S}$$ is a tri-diagonal matrix where the offdiagonal elements on either odd or even rows are zeros [28]. In this paper, the stair matrix is denoted by [TeX:] $$\mathbf{S}=\left(s_{i, i-1}, s_{i i}, s_{i, i+1}\right).$$

Examples of Type I and Type II of the stair matrix are shown as:

[TeX:] $$\mathbf{S}_{\text {Type I }}=\left[\begin{array}{cccccc} \times & \times & 0 & \cdots & \cdots & 0 \\ 0 & \times & 0 & \ddots & \ddots & \vdots \\ \vdots & \times & \times & \times & \ddots & \vdots \\ \vdots & \ddots & 0 & \times & 0 & 0 \\ \vdots & \ddots & \ddots & \times & \times & \times \\ 0 & \cdots & \cdots & \cdots & 0 & \times \end{array}\right]$$

or

[TeX:] $$\mathbf{S}_{\text {Type II }}=\left[\begin{array}{cccccc} \times & 0 & \cdots & \cdots & \cdots & 0 \\ \times & \times & \times & 0 & \cdots & \vdots \\ 0 & 0 & \times & 0 & \cdots & \vdots \\ \vdots & 0 & \times & \times & \times & \vdots \\ \vdots & \ddots & \ddots & 0 & \times & 0 \\ 0 & \cdots & \cdots & 0 & \times & \times \end{array}\right] .$$

It is also noted that if [TeX:] $$\mathbf{S}$$ is a stair matrix, then [TeX:] $$\mathbf{S}^H \text { and } \mathbf{S}^{-1}$$ are also stair matrices [28]. If we have a linear system [TeX:] $$\mathbf{S x}=\mathbf{d} \text {, }$$ the solution can be immediately obtained by computing [TeX:] $$\mathbf{S}^{-1} \mathbf{d}$$ [38]. Algorithm (1) solves the stair linear system where [TeX:] $$d_i=0$$ if [TeX:] $$i\lt 1 \text { or } i\gt K.$$

Exact solution of a linear system with a stair matrix

It is also worth noting that the [TeX:] $$K \times K$$ stair matrix is nonsingular only in the case that the diagonal elements of [TeX:] $$\mathbf{S}$$ are nonsingular. In addition, if [TeX:] $$\mathbf{S}$$ is nonsingular, then

[TeX:] $$\mathbf{S}^{-1}=\mathbf{D}^{-1}(2 \mathbf{D}-\mathbf{S}) \mathbf{D}^{-1}.$$

B. Band Matrix and Its Properties

We begin with the following definition:

Definition 2: A band matrix refers to a square matrix in which zero elements are located at a distance of p above and below the main diagonal. Here, p represents a value smaller than the matrix’s size. Therefore, for a matrix of size [TeX:] $$K \times K$$, it holds that [TeX:] $$p\lt K .$$ Let [TeX:] $$\mathbf{W}=\left(W_{i j}\right)$$ denote a [TeX:] $$K \times K$$ matrix, and [TeX:] $$\mathbf{T}=\left(T_{i j}\right)$$ represent a banded matrix with a bandwidth of [TeX:] $$2 p+1,$$ as defined by the following expression:

(15)
[TeX:] $$\mathbf{T}_{i j}=\left\{\begin{array}{ll} W_{i j}, & |j-i| \leq p \\ 0, & \text { elsewhere } \end{array},\right.$$

where p is called the matrix bandwidth or the band parameter. In the banded matrix, non-zero elements are only restricted to the diagonal band, which includes the main and secondary diagonals. An example of a banded matrix is shown below.

(16)
[TeX:] $$\mathbf{F}=\left[\begin{array}{cccccc} \times & \times & 0 & \cdots & \cdots & 0 \\ \times & \times & \times & \ddots & \ddots & \vdots \\ 0 & \times & \times & \times & \ddots & \vdots \\ \vdots & \ddots & \times & \times & \times & 0 \\ \vdots & \ddots & \ddots & \times & \times & \times \\ 0 & \cdots & \cdots & 0 & \times & \times \end{array}\right]$$

According to [39], LU decomposition is usually used to find [TeX:] $$\mathbf{T}_p^{-1}$$ where the jth column of [TeX:] $$\mathbf{T}_p^{-1}$$ can be calculated by solving the following linear equations:

(17)
[TeX:] $$\begin{array}{r} \mathbf{e}_j=\mathbf{L} \mathbf{V}_j \\ \mathbf{V}_j=\mathbf{U} \mathbf{T}_j, \end{array}$$

where [TeX:] $$\mathbf{e}_j$$ is the jth column of the identity matrix, [TeX:] $$\mathbf{V}_j$$ is an intermediate vector, and [TeX:] $$T_j$$ is the jth column of the inverse matrix, respectively. In [39], the authors proposed several lowcomplexity methods for obtaining the inverse of the banded matrix.

IV. PROPOSED METHODS

In this section, we present the proposed hybrid massive MIMO detectors to enhance the BER performance. We consider five well-known iterative methods, namely, the AOR, the SOR, the GS, the JA, and the RI methods. Due to its high impact on the convergence rate and the detectors’ performance, the initial solution should be carefully chosen.

A. Initialization based on NI and Scaled Identity Matrix (Detector 1)
In this subsection, we propose an efficient initialization of several massive MIMO detectors based on the NI and the scaled identity matrix. The main idea behind the proposed initialization is that utilization of the identity matrix instead of the diagonal matrix [TeX:] $$(\mathbf{D})$$ in a detector increases the convergence rate. For instance, the iteration matrix in the RI method is [TeX:] $$\varphi_{R I}=\mathbf{I}-\omega \mathbf{W}$$ while it is [TeX:] $$\varphi_{J A}=\mathbf{I}-\mathbf{D}^{-1} \mathbf{W}$$ in the JA method. However, the convergence rate of the RI based detector [TeX:] $$\frac{1}{\omega} \mathbf{I}$$ is faster than that in the JA based detector. Therefore, the convergence rate of [TeX:] $$\frac{1}{\omega} \mathbf{I}$$ in the NI based detector should be faster than that of [TeX:] $$\mathbf{X}^{(0)}=\mathbf{D} .$$ Due to channel hardening phenomena [ 40], we also can assume that [TeX:] $$\mathbf{D}=\mathbf{W} \simeq N \mathbf{I}.$$ If N and K grow to infinity, the smallest and largest values of eigenvalues of [TeX:] $$\mathbf{W}$$ would be stable [ 41] and can be presented as

(18)
[TeX:] $$\lambda_{\min }=N\left(1-\sqrt{\frac{K}{N}}\right)^2 \text { and } \quad \lambda_{\max }=N\left(1+\sqrt{\frac{K}{N}}\right)^2.$$

In this paper, we use the optimum ω as

(19)
[TeX:] $$\omega=\frac{2}{\lambda_{\min }+\lambda_{\max }} .$$

Therefore, matrix approximation after the first iteration of the NI method can be expressed as

(20)
[TeX:] $$\bar{\mathbf{W}}^{-1} \approx\left(\frac{1}{\omega} \mathbf{I}\right)^{-1}\left(2 \mathbf{I}-\mathbf{W}\left(\frac{1}{\omega} \mathbf{I}\right)^{-1}\right),$$

and the signal can be initially estimated as

(21)
[TeX:] $$\mathbf{v}=\bar{\mathbf{W}}^{-1} \mathbf{b}.$$

However, based on the NI method, [TeX:] $$\hat{\mathbf{x}}^{(0)}$$ can be presented as

(22)
[TeX:] $$\begin{aligned} \hat{\mathbf{x}}^{(0)} & =2 \mathbf{v}-\bar{\mathbf{W}}^{-1} \mathbf{W} \mathbf{v} \\ & =2 \bar{\mathbf{W}}^{-1} \mathbf{b}-\bar{\mathbf{W}}^{-1} \mathbf{W} \bar{\mathbf{W}}^{-1} \mathbf{b} \\ & =\bar{\mathbf{W}}^{-1}\left(2 \mathbf{I}-\mathbf{W} \bar{\mathbf{W}}^{-1}\right) \mathbf{b} . \end{aligned}$$

In the AOR based detector, the corresponding estimation of the signal after the first iteration is presented as

(23)
[TeX:] $$\begin{aligned} \hat{\mathbf{x}}^{(1)}= & \omega(\mathbf{D}-\gamma \mathbf{U})^{-1} \mathbf{b} \\ & +(\mathbf{D}-\gamma \mathbf{U})^{-1}[(1-\omega) \mathbf{D}+(\omega-\gamma) \mathbf{U}+\omega \mathbf{L}] \\ & \times \bar{\mathbf{W}}^{-1}\left(2 \mathbf{I}-\mathbf{W} \bar{\mathbf{W}}^{-1}\right) \mathbf{b} . \end{aligned}$$

In the SOR based detector, the corresponding estimation of the signal after the first iteration is given by

(24)
[TeX:] $$\begin{aligned} \hat{\mathbf{x}}^{(1)}= & (\mathbf{D}-\omega \mathbf{L})^{-1}[\omega \mathbf{U}+(1-\omega) \mathbf{D}] \bar{\mathbf{W}}^{-1}\left(2 \mathbf{I}-\mathbf{W} \bar{\mathbf{W}}^{-1}\right) \mathbf{b} \\ & +(\mathbf{D}-\omega \mathbf{L})^{-1} \omega \mathbf{b} . \end{aligned}$$

In the GS based detector, the corresponding estimation of the signal after the first iteration is given by

(25)
[TeX:] $$\hat{\mathbf{x}}^{(1)}=(\mathbf{D}-\mathbf{L})^{-1} \mathbf{U} \bar{\mathbf{W}}^{-1}\left(2 \mathbf{I}-\mathbf{W} \bar{\mathbf{W}}^{-1}\right) \mathbf{b}+(\mathbf{D}-\mathbf{L})^{-1} \mathbf{b} .$$

In the JA based detector, the corresponding estimation of the signal after the first iteration is given by

(26)
[TeX:] $$\hat{\mathbf{x}}^{(1)}=\mathbf{D}^{-1}(\mathbf{L}+\mathbf{U}) \bar{\mathbf{W}}^{-1}\left(2 \mathbf{I}-\mathbf{W} \bar{\mathbf{W}}^{-1}\right) \mathbf{b}+\mathbf{D}^{-1} \mathbf{b} .$$

In the RI based detector, the corresponding estimation of the signal after the first iteration is given by

(27)
[TeX:] $$\begin{aligned} \hat{\mathbf{x}}^{(1)}= & \bar{\mathbf{W}}^{-1}\left(2 \mathbf{I}-\mathbf{W} \bar{\mathbf{W}}^{-1}\right) \mathbf{b} \\ & +\omega\left(\mathbf{b}-\mathbf{W} \bar{\mathbf{W}}^{-1}\left(2 \mathbf{I}-\mathbf{W} \bar{\mathbf{W}}^{-1}\right) \mathbf{b}\right) . \end{aligned}$$

Algorithm (2) presents the proposed initialization of massive MIMO detectors with the corresponding iterative methods.
Massive MIMO detectors based on the NI and identity matrix (Detector 1)
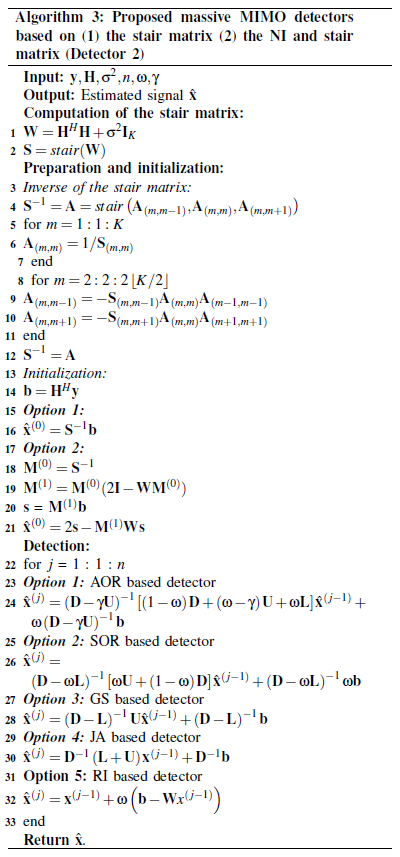
B. Initialization based on the NI and the Stair Matrix (Detector 2)

According to [25], [37], computation of [TeX:] $$\mathbf{S}^{-1}$$ incurs the same complexity order as the computation of [TeX:] $$\mathbf{D}^{-1}.$$ In Detector 2, we use the stair matrix to initialize all detectors based on iterative methods as

(28)
[TeX:] $$\hat{\mathbf{x}}^{(0)}=\mathbf{S}^{-1} \mathbf{b},$$

where [TeX:] $$\mathbf{S}^{-1}$$ can be easily computed as shown in Algorithm (3). Therefore, the first iteration of the AOR based detector is

(29)
[TeX:] $$\begin{aligned} \hat{\mathbf{x}}^{(1)}= & (\mathbf{D}-\gamma \mathbf{U})^{-1}[(1-\omega) \mathbf{D}+(\omega-\gamma) \mathbf{U}+\omega \mathbf{L}] \mathbf{S}^{-1} \mathbf{b} \\ & +\omega(\mathbf{D}-\gamma \mathbf{U})^{-1} \mathbf{b} . \end{aligned}$$

Proposed massive MIMO detectors based on (1) the stair matrix (2) the NI and stair matrix (Detector 2)

The SOR based detector’s first iteration is

(30)
[TeX:] $$\begin{aligned} \hat{\mathbf{x}}^{(1)}= & (\mathbf{D}-\omega \mathbf{L})^{-1}[\omega \mathbf{U}+(1-\omega) \mathbf{D}] \mathbf{S}^{-1} \mathbf{b} \\ & +(\mathbf{D}-\omega \mathbf{L})^{-1} \omega \mathbf{b} . \end{aligned}$$

The GS based detector’s first iteration is

(31)
[TeX:] $$\hat{\mathbf{x}}^{(1)}=(\mathbf{D}-\mathbf{L})^{-1} \mathbf{U S} \mathbf{S}^{-1} \mathbf{b}+(\mathbf{D}-\mathbf{L})^{-1} \mathbf{b} .$$

The JA based detector’s first iteration is

(32)
[TeX:] $$\hat{\mathbf{x}}^{(1)}=\mathbf{D}^{-1}(\mathbf{L}+\mathbf{U}) \mathbf{S}^{-1} \mathbf{b}+\mathbf{D}^{-1} \mathbf{b}.$$

The RI based detector’s first iteration is

(33)
[TeX:] $$\hat{\mathbf{x}}^{(1)}=\mathbf{S}^{-1} \mathbf{b}+\omega\left(\mathbf{b}-\mathbf{W} \mathbf{S}^{-1} \mathbf{b}\right) .$$

In order to accelerate the convergence rate and hence, reduce the computational complexity, we propose to utilize the stair matrix [TeX:] $$(\mathbf{S})$$ to approximate [TeX:] $$\mathbf{W}^{-1}$$ based on the NI formula. Then, the approximated matrix [TeX:] $$(\mathbf{W}^{-1})$$ will be used to find the initial solution of the iterative methods. We propose to approximate the equalization matrix using the first iteration of the NI method, where [TeX:] $$\mathbf{D}$$

(34)
[TeX:] $$\bar{\mathbf{W}}^{-1} \approx \mathbf{S}^{-1}\left(2 \mathbf{I}-\mathbf{W} \mathbf{S}^{-1}\right) .$$

Therefore, [TeX:] $$\bar{\mathbf{W}}^{-1}$$ is calculated based on matrix-vector multiplications instead of matrix-matrix multiplications. The initial estimation [TeX:] $$\left(\bar{\mathbf{x}}^{(0)}\right)$$ based on the first NI iteration can be expressed as

(35)
[TeX:] $$\bar{\mathbf{x}}^{(0)}=\mathbf{v}=\bar{\mathbf{W}}^{-1} \mathbf{b} .$$

Therefore, the AOR based detector’s first iteration is

(36)
[TeX:] $$\begin{aligned} \hat{\mathbf{x}}^{(1)}= & (\mathbf{D}-\gamma \mathbf{U})^{-1}[(1-\omega) \mathbf{D}+(\omega-\gamma) \mathbf{U}+\omega \mathbf{L}] \bar{\mathbf{W}}^{-1} \mathbf{b} \\ & +\omega(\mathbf{D}-\gamma \mathbf{U})^{-1} \mathbf{b} . \end{aligned}$$

The SOR based detector’s first iteration is

(37)
[TeX:] $$\begin{aligned} \hat{\mathbf{x}}^{(1)}= & (\mathbf{D}-\omega \mathbf{L})^{-1}[\omega \mathbf{U}+(1-\omega) \mathbf{D}] \bar{\mathbf{W}}^{-1} \mathbf{b} \\ & +(\mathbf{D}-\omega \mathbf{L})^{-1} \omega \mathbf{b} . \end{aligned}$$

The GS based detector’s first iteration is

(38)
[TeX:] $$\hat{\mathbf{x}}^{(1)}=(\mathbf{D}-\mathbf{L})^{-1} \mathbf{U} \bar{\mathbf{W}}^{-1} \mathbf{b}+(\mathbf{D}-\mathbf{L})^{-1} \mathbf{b} .$$

The JA based detector’s first iteration is

(39)
[TeX:] $$\hat{\mathbf{x}}^{(1)}=\mathbf{D}^{-1}(\mathbf{L}+\mathbf{U}) \bar{\mathbf{W}}^{-1} \mathbf{b}+\mathbf{D}^{-1} \mathbf{b} .$$

The RI based detector’s first iteration is

(40)
[TeX:] $$\hat{\mathbf{x}}^{(1)}=\bar{\mathbf{W}}^{-1} \mathbf{b}+\omega\left(\mathbf{b}-\mathbf{W} \bar{\mathbf{W}}^{-1} \mathbf{b}\right).$$

In order to further accelerate the convergence rate, we use the Newton-Schultz [30] and (49) to estimate the initial vector [TeX:] $$\left(\hat{\mathbf{x}}^{(0)}\right)$$ as

(41)
[TeX:] $$\begin{aligned} \hat{\mathbf{x}}^{(0)}= & 2 \mathbf{v}-\bar{\mathbf{W}}^{-1} \mathbf{W} \mathbf{v} \\ = & 2 \mathbf{S}^{-1}\left(2 \mathbf{I}-\mathbf{W S}^{-1}\right) \\ & -\mathbf{S}^{-1}\left(2 \mathbf{I}-\mathbf{W S}^{-1}\right) \mathbf{W} \bar{\mathbf{W}}^{-1} \mathbf{b} . \end{aligned}$$

Therefore, the AOR-based detector’s first iteration is

(42)
[TeX:] $$\begin{aligned} \hat{\mathbf{x}}^{(1)}= & (\mathbf{D}-\gamma \mathbf{U})^{-1}[(1-\omega) \mathbf{D}+(\omega-\gamma) \mathbf{U}+\omega \mathbf{L}] \\ & \times 2 \mathbf{S}^{-1}\left(2 \mathbf{I}-\mathbf{W S}^{-1}\right) \\ & -\mathbf{S}^{-1}\left(2 \mathbf{I}-\mathbf{W S}^{-1}\right) \mathbf{W} \bar{\mathbf{W}}^{-1} \mathbf{b} \\ & +\omega(\mathbf{D}-\gamma \mathbf{U})^{-1} \mathbf{b} . \end{aligned}$$

The SOR based detector’s first iteration is

(43)
[TeX:] $$\begin{aligned} \hat{\mathbf{x}}^{(1)}= & (\mathbf{D}-\omega \mathbf{L})^{-1}[\omega \mathbf{U}+(1-\omega) \mathbf{D}] \\ & \times 2 \mathbf{S}^{-1}\left(2 \mathbf{I}-\mathbf{W S}^{-1}\right) \\ & -\mathbf{S}^{-1}\left(2 \mathbf{I}-\mathbf{W} \mathbf{S}^{-1}\right) \mathbf{W} \bar{\mathbf{W}}^{-1} \mathbf{b} \\ & +(\mathbf{D}-\omega \mathbf{L})^{-1} \omega \mathbf{b} . \end{aligned}$$

The GS based detector’s first iteration is

(44)
[TeX:] $$\begin{aligned} \hat{\mathbf{x}}^{(1)}= & (\mathbf{D}-\mathbf{L})^{-1} \mathbf{U} \\ & \times 2 \mathbf{S}^{-1}\left(2 \mathbf{I}-\mathbf{W S}^{-1}\right) \\ & -\mathbf{S}^{-1}\left(2 \mathbf{I}-\mathbf{W} \mathbf{S}^{-1}\right) \mathbf{W} \bar{\mathbf{W}}^{-1} \mathbf{b} \\ & +(\mathbf{D}-\mathbf{L})^{-1} \mathbf{b} . \end{aligned}$$

The JA based detector’s first iteration is

(45)
[TeX:] $$\begin{aligned} \hat{\mathbf{x}}^{(1)}= & \mathbf{D}^{-1}(\mathbf{L}+\mathbf{U}) \\ & \times 2 \mathbf{S}^{-1}\left(2 \mathbf{I}-\mathbf{W} \mathbf{S}^{-1}\right) \\ & -\mathbf{S}^{-1}\left(2 \mathbf{I}-\mathbf{W} \mathbf{S}^{-1}\right) \mathbf{W} \bar{\mathbf{W}}^{-1} \mathbf{b} \\ & +\mathbf{D}^{-1} \mathbf{b} . \end{aligned}$$

The RI based detector’s first iteration is

(46)
[TeX:] $$\begin{aligned} \hat{\mathbf{x}}^{(1)}= & 2 \mathbf{S}^{-1}\left(2 \mathbf{I}-\mathbf{W S}^{-1}\right) \\ & -\mathbf{S}^{-1}\left(2 \mathbf{I}-\mathbf{W} \mathbf{S}^{-1}\right) \mathbf{W} \bar{\mathbf{W}}^{-1} \mathbf{b} \\ & +\omega\left(\mathbf{b}-2 \mathbf{W} \mathbf{S}^{-1}\left(2 \mathbf{I}-\mathbf{W} \mathbf{S}^{-1}\right)-\mathbf{S}^{-1}\left(2 \mathbf{I}-\mathbf{W} \mathbf{S}^{-1}\right) \mathbf{W} \bar{\mathbf{W}}^{-1} \mathbf{b}\right) . \end{aligned}$$

Algorithm (3) describes the proposed massive MIMO detectors based on the stair matrix and the NI formula.

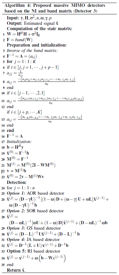
C. Initialization based on the NI and the Band Matrix (Detector 3)

According to [29], if the equalization matrix is diagonally dominant, then for any [TeX:] $$K \leq N$$ the iterative methods are convergent for any initial vector. In the case of the band matrix, the band parameter (p) plays a crucial role in achieving a fast convergence rate. In Detector 3, we employ the band matrix defined in Section III-B and the NI method to initialize the massive MIMO detectors. We first use the band matrix to initialize all detectors based on iterative methods as

(47)
[TeX:] $$\hat{\mathbf{x}}^{(0)}=\mathbf{F}^{-1} \mathbf{b},$$

where [TeX:] $$\mathbf{F}$$ presents the band matrix extracted from [TeX:] $$\mathbf{W}$$, and [TeX:] $$\mathbf{F}^{-1}$$ can be easily computed as shown in Algorithm (4). In order to achieve a fast convergence rate and hence, reduce the computational complexity, we also propose to use the band matrix [TeX:] $$(\mathbf{F})$$ to approximate the equalization matrix inverse [TeX:] $$\mathbf{W}^{-1}$$ based on the first iteration of the NI formula as

(48)
[TeX:] $$\bar{\mathbf{W}}^{-1} \approx \mathbf{F}^{-1}\left(2 \mathbf{I}-\mathbf{W} \mathbf{F}^{-1}\right)$$

Proposed massive MIMO detectors based on the NI and band matrix (Detector 3)

It is clear that [TeX:] $$\bar{\mathbf{W}}^{-1}$$ is calculated based on matrix-vector multiplications instead of matrix-matrix multiplications. The initial estimation [TeX:] $$\left(\bar{\mathbf{x}}^{(0)}\right)$$ based on the first NI iteration can be expressed as

(49)
[TeX:] $$\bar{\mathbf{x}}^{(0)}=\mathbf{v}=\bar{\mathbf{W}}^{-1} \mathbf{b}=\mathbf{F}^{-1}\left(2 \mathbf{I}-\mathbf{W F}^{-1}\right) \mathbf{b} .$$

Therefore, [TeX:] $$\bar{\mathbf{x}}^{(0)}$$ can be presented as

(50)
[TeX:] $$\begin{aligned} \hat{\mathbf{x}}^{(0)} & =2 \mathbf{v}-\bar{\mathbf{W}}^{-1} \mathbf{W} \mathbf{v} \\ & =2 \bar{\mathbf{W}}^{-1} \mathbf{b}-\bar{\mathbf{W}}^{-1} \mathbf{W} \bar{\mathbf{W}}^{-1} \mathbf{b} \\ & =\bar{\mathbf{W}}^{-1}\left(2 \mathbf{I}-\mathbf{W} \bar{\mathbf{W}}^{-1}\right) \mathbf{b} \\ & =\mathbf{F}^{-1}\left(2 \mathbf{I}-\mathbf{W F}^{-1}\right)\left[2-\bar{\mathbf{W}}^{-1} \mathbf{W}\right] \mathbf{b} . \end{aligned}$$

Therefore, the AOR based detector’s first iteration is written as

(51)
[TeX:] $$\begin{aligned} \hat{\mathbf{x}}^{(1)}= & (\mathbf{D}-\gamma \mathbf{U})^{-1}[(1-\omega) \mathbf{D}+(\omega-\gamma) \mathbf{U}+\omega \mathbf{L}] \\ & \times \mathbf{F}^{-1}\left(2 \mathbf{I}-\mathbf{W F}^{-1}\right)\left[2-\bar{\mathbf{W}}^{-1} \mathbf{W}\right] \mathbf{b} \\ & +\omega(\mathbf{D}-\gamma \mathbf{U})^{-1} \mathbf{b}, \end{aligned}$$

The SOR based detector’s first iteration is

(52)
[TeX:] $$\begin{aligned} \hat{\mathbf{x}}^{(1)}= & (\mathbf{D}-\omega \mathbf{L})^{-1}[\omega \mathbf{U}+(1-\omega) \mathbf{D}] \\ & \times \mathbf{F}^{-1}\left(2 \mathbf{I}-\mathbf{W F}^{-1}\right)\left[2-\bar{\mathbf{W}}^{-1} \mathbf{W}\right] \mathbf{b} \\ & +(\mathbf{D}-\omega \mathbf{L})^{-1} \omega \mathbf{b}, \end{aligned}$$

The GS based detector’s first iteration is

(53)
[TeX:] $$\begin{aligned} \hat{\mathbf{x}}^{(1)}= & (\mathbf{D}-\mathbf{L})^{-1} \mathbf{U} \mathbf{F}^{-1}\left(2 \mathbf{I}-\mathbf{W F}^{-1}\right)\left[2-\bar{\mathbf{W}}^{-1} \mathbf{W}\right] \mathbf{b} \\ & +(\mathbf{D}-\mathbf{L})^{-1} \mathbf{b}. \end{aligned}$$

The JA based detector’s first iteration is

(54)
[TeX:] $$\hat{\mathbf{x}}^{(1)}=\mathbf{D}^{-1}(\mathbf{L}+\mathbf{U}) \mathbf{F}^{-1}\left(2 \mathbf{I}-\mathbf{W} \mathbf{F}^{-1}\right)\left[2-\bar{\mathbf{W}}^{-1} \mathbf{W}\right] \mathbf{b}+\mathbf{D}^{-1} \mathbf{b}$$

The RI based detector’s first iteration is

(55)
[TeX:] $$\begin{aligned} \hat{\mathbf{x}}^{(1)}= & \mathbf{F}^{-1}\left(2 \mathbf{I}-\mathbf{W F}^{-1}\right)\left[2-\bar{\mathbf{W}}^{-1} \mathbf{W}\right] \mathbf{b} \\ & +\omega\left(\mathbf{b}-\mathbf{W} \mathbf{F}^{-1}\left(2 \mathbf{I}-\mathbf{W F}^{-1}\right)\left[2-\bar{\mathbf{W}}^{-1} \mathbf{W}\right] \mathbf{b}\right) . \end{aligned}$$

Algorithm (4) shows the details of initialization and the proposed massive MIMO detectors based on the band matrix and the NI method.

V. COMPLEXITY ANALYSIS

The fact that the hardware complexity is primarily determined by the number of multiplications is widely recognized [42]. Consequently, this paper focuses on assessing the computational complexity by examining the necessary number of multiplications. The computational complexity of the proposed massive MIMO data detection techniques is split into two stages; preparation & initialization and iteration. For the preparation & initialization stage, the computation of the matrix inversion, the matched filter output [TeX:] $$({\mathbf{b}})$$, and the first iteration of the NI method are considered. All proposed detectors require the computation of [TeX:] $$\mathbf{b}$$, where 4NK multiplications are needed. The computation of [TeX:] $$\mathbf{D}^{-1}$$, requires K multiplications. The number of multiplications required to compute [TeX:] $$\hat{\mathbf{x}}^{(0)}$$ based on the NI method is 8(KN +K). In addition, the computation of [TeX:] $$\mathbf{F}^{-1}$$ requires [TeX:] $$2 p K^2+(3 p+5) p K$$ multiplications [39] while [TeX:] $$\mathbf{S}^{-1}$$ needs 3(K−1) multiplications [28]. Multiplications’ number in the iteration stage in all iterative methods (conventional detectors) is presented in Table I. Clearly, the number of iterations (n) significantly impacts the number of multiplications.

Table I
COMPUTATIONAL COMPLEXITY OF THE ITERATION STAGE IN ITERATIVE METHODS.

The total number of multiplications required for each of the proposed detectors (preparation & initialization and iteration) is presented in Table II. Detector 1, detector 2, and detector 3 correspond to the proposed detectors in Algorithm (2), Algorithm (3), and Algorithm (4), respectively. As shown in Table II, the MMSE complexity [TeX:] $$O\left(K^3\right)}$$ is reduced to [TeX:] $$O\left(K^2\right)$$ using the proposed detectors. However, the complexity of the detector in [17] is presented as [TeX:] $$O\left(NK\right)$$ where two iterations of the NI method are required to initialize the RI based detector. In Section VI, it is shown the proposed detectors converge faster than the detector in [17].

Table II
COMPUTATIONAL COMPLEXITY OF PROPOSED DETECTORS.

VI. NUMERICAL RESULTS

In this section, we use simulation results to investigate the performance of our proposed methods and compare them with conventional techniques. Our results are obtained by averaging over 10,000 instances of the channel matrix H, whose elements are independent complex Gaussian with mean zero and variance 1. We consider QPSK, 16QAM and 64QAM modulations in our simulations. We also consider several massive MIMO size, including 20×160, 30×160, 40×160. For Detector 3, the band parameter is set as p = 5. While the majority of our results assume perfect CSI, the impact of imperfect CSI is also considered. The performance of the classical MMSE detector is shown as a benchmark in all our simulation results. In addition, it is noteworthy that not every iteration could improve the performance. However, every extra iteration could increase the computational complexity. In this paper, we are using the smallest number of iterations to attain the MMSE performance.

In Figs. 1(a), 1(b), and 1(c), we show the BER performances of the three proposed detectors combined with the selected iterative methods and compare them with the performances of the conventional iterative methods that do not use the proposed initialization. This is done using 16QAM, a 20×160 massive MIMO system, and only a single iteration (n = 1). We also compare it with the performance of the detector developed in [17].

Fig. 1.
Performance comparison of the proposed detectors, the MMSE based detector, the conventional iterative methods, and the detector in [ 17], in 20× 160 MIMO, 16QAM: (a) Detector 1, (b) Detector 2, and (c) Detector 3.

It is clear from Fig. 1(a) that detector 1 with all the proposed methods yields performance that overlaps with MMSE for the whole SNR range. The performance is also approximately 0.5 dB better than the detector proposed in [17] at BER of [TeX:] $$10^{-4}.$$ For each method, there are substantial gains for using the proposed initialization compared to the conventional (diagonal-based) initialization. For instance, at BER of [TeX:] $$10^{-3},$$ the proposed GS exhibits a gain of approximately 1 dB, the proposed JA a gain of approximately 3.2 dB, while the RI, SOR, and AOR all exhibit very high gains (more than 6 dB). Similar trends are also observed for detectors 2 and 3 in Figs. 1(b) and 1(c), respectively, with approximately similar gains. These figures confirm the advantage of our proposed initialization, especially that MMSE performance is achieved with a single iteration n = 1.

In Figs. 2(a), 2(b), and 2(c) we repeat the same experiments as Figs. 1(a), 1(b), and 1(c), but using 64QAM. In Fig. 2(a) the performance of the proposed AOR, almost overlaps with the MMSE, while those of the GS, RI, and SOR are very close to MMSE. However, the proposed JA diverges from the MMSE at high SNR. In particular, it diverges by more than 2 dB at BER of [TeX:] $$10^{-6}.$$ At BER of [TeX:] $$10^{-3},$$ all the proposed detectors yield a gain of approximately 2 dB compared to the detector in [17]. The gains compared to the conventional detectors are higher than those obtained at 16QAM. For instance, the gain of the GS is higher than 6 dB at BER of [TeX:] $$10^{-3},$$ while the gains of the other method are much higher since the conventional methods seem to exhibit error floors at high SNR, unlike the proposed methods. For detector 2, we can see in Fig. 2-b that the proposed GS and SOR overlap with the MMSE. The RI and AOR diverge from the MMSE starting from SNR of 16 dB, with a performance loss of more than 2 dB at BER of [TeX:] $$10^{-6}.$$ The JA, however, diverges from the MMSE earlier, at approximately 13 dB, with a performance loss of approximately 3 dB at BER of [TeX:] $$10^{-4}.$$ Needless to say, all the proposed methods outperform the method [17] and significantly outperform their conventional counterparts. For detector 3, we can see in Fig. 2(c) that all the proposed methods overlap with MMSE. Hence, among the three proposed detectors, detector 3 seems to offer the best performance as the modulation order increases. [TeX:] $$10^{-4},$$ though the gap increases to about 2.5 dB at BER of [TeX:] $$10^{-3}.$$ For the GS, the gap is approximately 1.5 dB at BER of [TeX:] $$10^{-4}$$ and approximately 3 dB at BER of [TeX:] $$10^{-5}.$$ For the SOR, the gap is approximately 6 dB at BER of [TeX:] $$10^{-4}.$$ For the RI, the gap is approximately 6.8 dB at BER of [TeX:] $$10^{-3}.$$ In general, the proposed AOR and GS are the closest to the MMSE, while the JA is the farthest. Still, with the proposed detector we achieve viable performance with AOR, GS, and SOR, compared to the conventional methods whose performance degrades significantly with the increase in the size of the system.

Fig. 2.
Performance comparison of the proposed detectors, the MMSE based detector, conventional iterative methods, and the detector in [ 17], in 20×160 MIMO, 64QAM: (a) Detector 1, (b) Detector 2, and (c) Detector 3.

Fig. 3(b) shows the performance of Detector 2 for the 40× 160 massive MIMO system with n = 3. In this case, both the AOR and the GS almost overlap with the MMSE, while the SOR is close to the MMSE, slightly diverging at high SNR. While the proposed RI performs significantly better than the conventional RI (more than 10 dB better at BER of [TeX:] $$4 \times 10^{-2}$$), it is still significantly far from MMSE performance and seems to encounter an error floor. Moreover, there is no remarkable difference between the performance of the conventional and proposed JA, both of which are significantly degraded. It is also noticed that the AOR, GS, SOR, and RI all outperform the detector proposed in [17].

Fig. 3(c) shows the performance of Detector 3 for the 40×160 massive MIMO system with n = 2. Again as before, it is observed that all proposed detectors outperform their conventional counterparts and outperform the Detector of [17]. Moreover, the GS, the proposed AOR, GS, and the SOR all overlap with MMSE performance. As with Detector 1 and Detector 2, the RI and the JA are the most affected by the increase in the size of the system. However, both of them perform much better with Detector 3 than with Detectors 1 and 2, with the RI achieving BERs below [TeX:] $$4 \times 10^{-3}$$ at high SNR. While all the proposed detectors outperform their conventional counterparts, it seems that Detector 3 with GS, AOR, and SOR offers the best performance for large-sized systems.

Fig. 3.
Performance comparison of proposed detectors, the MMSE based detector, conventional iterative methods, and the detector in [ 17], in 40×160 MIMO, 64QAM: (a) Detector 1, (b) Detector 2, and (c) Detector 3.

While the previous results all assume perfect CSI, in Fig. 4, we investigate the impact of imperfect CSI on the performance of the proposed estimators. In order to avoid any misleading conclusions, we present the performances of the proposed detectors in case of perfect and imperfect CSI. In order to model imperfect CSI, we assume that the estimated channel is related to the true channel by (2) where ζ is set to 0.9. We use QPSK with a system size is 30 × 160 and n = 1 iteration for all detectors. In case of imperfect CSI, in general, for all iterative methods, Detector 3 seems to offer the best performance with imperfect CSI, followed by Detector 1 and then Detector 2. Moreover, all the proposed detectors, except JA based Detector 2, perform better than the detector proposed in [17] for imperfect CSI. The detector in [17] diverge from the proposed detectors starting from SNR of 4 dB, with a performance loss of more than 3 dB at BER of [TeX:] $$10^{-4}.$$ It is also noticed that for RI and JA, the performances of both Detector 1 and Detector 2 are affected by imperfect CSI. While for the AOR, GS and SOR, all detectors perform close to the MMSE. The proposed JA based detector 2 suffers from performance loss at high SNR. In general, it is observed that Detector 3 is the most robust to channel errors.

Fig. 4.
Performance comparison between proposed detectors, MMSE based detector, and the detector in [ 17], 30×160 MIMO, QPSK where perfect and imperfect CSI are considered.

We next investigate the computational complexity of the proposed estimators. Fig. 5 illustrates all the proposed detectors as well as the benchmark MMSE in terms of the multiplications versus the number of transmitting antennas. The number of received antennas is fixed at 160, and the number of iterations is set to n = 1. From Fig. 5(a), it is clear that the proposed detectors provide a huge reduction in complexity compared to the MMSE. In fact, compared to the MMSE, the proposed detectors require approximately 10−20× less multiplications. Due to the large gap between the proposed detectors and the MMSE, we show the complexity of the proposed detectors without the MMSE in Fig. 5(b), for better resolution. It is observed that Detectors 1 and 2 have almost identical complexity for all the methods, while Detector 3 has higher complexity than both. Moreover, the gap between Detectors 1, 2, and Detector 3 increases with the number of transmitting antennas. However, Detector 3 does not seem to exceed twice the number of computations of Detectors 1 and 2.

Fig. 5.
Complexity comparison as a function of the number of transmitting antennas, n = 1, p = 5, and N = 160.

In Fig. 6, we compare the computational complexity of the proposed estimators in terms of the number of multiplications needed to achieve a BER of [TeX:] $$10^{-4}$$ for a 40×160 massive MIMO system and 64QAM. For reference, we also provide the complexity of the detector in [17]. It is again observed that there is a huge reduction in complexity compared to the MMSE detector.For all proposed detectors, the AOR has the lowest complexity to achieve the target performance. However, the JA method based on Detectors 1 & 2 failed to attain BER=[TeX:] $$10^{-4}$$. However, it works well when the ratio between the number of transmitting and receiving antennas is very small.

Fig. 6.
Complexity comparison between proposed detectors, MMSE based detector, and the detector in [ 17] to achieve BER= [TeX:] $$10^{-4}$$, 40×160 MIMO, and 64QAM.

VII. CONCLUSION

In this paper, we considered the problem of data detection in massive MIMO systems. Three different initialization methods for massive MIMO detectors were developed based on the NI method, the scaled identity matrix, the stair matrix, and the band matrix. The proposed initialization methods were combined with the AOR, the SOR, the GS, the JA, and the RI methods. Using simulation results, the proposed detectors achieved a good performance with a significant complexity reduction in both perfect and imperfect CSI scenarios, under different modulation schemes, and when the number of users approaches the number of BS antennas. An attractive feature of the proposed detectors is that a large number of iterations is not required to attain MMSE performance when the number of receiving antennas is much larger than the number of transmitting antennas. We also showed that the proposed detectors achieved a significant improvement in BER performance with a significant complexity reduction compared to the conventional detectors that employ the diagonal matrix in the initialization stage. Moreover, the proposed AOR and SOR based detectors achieved the best performance and lowest complexity in the various considered scenarios. Finally, many of the steps in the implementation of the proposed massive MIMO detectors lend themselves to a real-time implementation in the presence of appropriate computational resources.

Biography

Mahmoud A. Albreem

Mahmoud A. Albreem (Senior Member, IEEE) received the B.Eng. degree in Electrical Engineering from Islamic University of Gaza, Palestine, in 2008, and the M.Sc. (EE) and Ph.D. (EE) degrees from University Sains Malaysia (USM), Malaysia, in 2010 and 2013, respectively. From 2014 till 2016, Dr. Albreem was a Senior Lecturer with University Malaysia Perlis. In 2016-2021, he chaired Department of Electronics and Communications Engineering, A’Sharqiyah University, Oman. Currently, he is an Assistant Professor with Department of Electrical Engineering, University of Sharjah, UAE. Dr. Albreem is the author of more than 85 journal and conference papers. He received several scholarships and grants, such as Nokia Foundation Centennial Grant (2018), USM Fellowship (2011-2013), and Best Master’s Thesis Award of the School of Electrical and Electronics Engineering, USM (2010). Dr. Albreem served on the Editorial Board for Journal of Wireless Communications and Mobile Computing. His research interests include multiple-input multiple-output (MIMO) detection and precoding techniques, machine learning applications for wireless communication systems, and green communications.

Biography

Saeed Abdallah

Saeed Abdallah (Member, IEEE) received the B.E. degree in Computer and Communications Engineering from the American University of Beirut, Beirut, Lebanon, in 2005, and the M.Sc. and Ph.D. degrees in Electrical Engineering from McGill University, Montreal, QC, Canada, in 2008 and 2013, respectively. He held the position of a Postdoctoral Fellow at the Department of Electrical and Computer Engineering, Queen’s University, Kingston, ON, Canada, from 2013 to 2014. Since 2014, he has been with the Department of Electrical Engineering, University of Sharjah, Sharjah, United Arab Emirates, where he currently holds the rank of an Associate Professor. His research interests include signal processing for wireless communications, with special emphasis on beyond fifth generation (B5G) wireless communications, ambient backscatter communication systems, molecular communications, massive multiple-input multiple-output (MIMO) systems, relay networks, channel estimation, and synchronization.

Biography

Khawla A. Alnajjar

Khawla A. Alnajjar (Member, IEEE) received the B.S. degree in Electrical Engineering and Communication track from United Arab Emirates University (UAEU), Al Ain, in 2008, the M.S. and P.E.E. degrees in Electrical Engineering from Columbia University, New York, in 2010 and 2012, respectively, and the Ph.D. degree in Electrical and Electronics Engineering from the University of Canterbury, Christchurch, New Zealand, in 2015. She is currently an Assistant Professor with the Department of Electrical and Computer Engineering, University of Sharjah, United Arab Emirates. Her research interests include wireless communication systems, mathematical statistics, network information theory, and power grids. She has received more than 30 competitive awards for her successful studies and research during these ten years.

Biography

Mahmoud Aldababsa

Mahmoud Aldababsa (Member, IEEE) received a B.Sc. degree in Electrical Engineering from AnNajah National University, Palestine, in 2010, an M.Sc. degree in Electronics and Communication Engineering from Al-Quds University, Palestine, in 2013, and a Ph.D. degree in Electronics Engineering from Gebze Technical University, Turkey. He was a research and teach assistant at Al-Quds University from 2010 to 2013. He was a post-doc researcher at the Communications Research and Innovation Laboratory (CoreLab) at Koc University, Turkey. He was an Assistant Professor of Electrical and Electronics Engineering at Istanbul Gelisim University, Turkey, and is currently at Nisantasi University. His current research interests include non-orthogonal multiple access and reconfigurable intelligent surfaces in 5G and 6G wireless systems.

References

  • 1 A. Dogra, R. K. Jha, and S. Jain, "A survey on beyond 5G network with the advent of 6G: Architecture and emerging technologies," IEEE Access, vol. 9, pp. 67512-67547, 2020.doi:[[[10.1109/ACCESS.2020.3031234]]]
  • 2 S. Berra, S. Chakraborty, R. Dinis, and S. Shahabuddin, "Deep unfolding of chebyshev accelerated iterative method for massive MIMO detection," IEEE Access, vol. 11, pp. 52555-52569, 2023.doi:[[[10.1109/ACCESS.2023.3279350]]]
  • 3 E. G. Larsson, O. Edfors, F. Tufvesson, and T. L. Marzetta, "Massive MIMO for next generation wireless systems," IEEE Commun. Mag., vol. 52, no. 2, pp. 186-195, 2014.doi:[[[10.1109/MCOM.2014.6736761]]]
  • 4 Y . Chen, S. Song, Z. Wang, and J. Lin, "An efficient massive MIMO detector based on approximate expectation propagation," IEEE Trans. Very Large Scale Integr. (VLSI) Syst., vol. 31, no. 5, pp. 696-700, 2023.doi:[[[10.1109/TVLSI.2023.3255234]]]
  • 5 F. Rusek et al., "Scaling up MIMO: Opportunities and challenges with very large arrays," IEEE Signal Process. Mag., vol. 30, no. 1, pp. 40-60, 2012.doi:[[[10.1109/MSP.2011.2178495]]]
  • 6 M. Chinnusami et al., "Low complexity signal detection for massive MIMO in B5G uplink system," IEEE Access, vol. 11, pp. 91051-91059, 2023.doi:[[[10.1109/ACCESS.2023.3266476]]]
  • 7 J. Wang, Q. Zhang, and Y . Wang, "Detecting massive MIMO-QAM signal via L 2 -box admm approach," IEEE Wireless Commun. Lett., vol. 12, no. 10, pp. 1687-1691, 2023.doi:[[[10.1109/LWC.2023.3288011]]]
  • 8 J. Zengetal., "Achieving energy-efficient massive URLLC over cell-free massive MIMO," IEEE Internet Things J., early access, 2023.doi:[[[10.1109/JIOT.2023.3293008]]]
  • 9 M. A. Albreem, M. Juntti, and S. Shahabuddin, "Massive MIMO detection techniques: A survey," IEEE Commun. Surveys Tuts., vol. 21, no. 4, pp. 3109-3132, 2019.doi:[[[10.1109/COMST.2019.2935810]]]
  • 10 A. Datta and S. Majhi, "Restricted search space exploration with refinement for symbol detection in uplink massive MIMO," IEEE Trans. Veh. Technol., pp. 1-6, 2023.doi:[[[10.1109/TVT.2023.3277499]]]
  • 11 L. V . Nguyen et al., "Leveraging deep neural networks for massive MIMO data detection," IEEE Wireless Commun., vol. 30, no. 1, pp. 174-180, 2023.doi:[[[10.1109/MWC.013.2100652]]]
  • 12 S. Brennsteiner, T. Arslan, J. S. Thompson, and A. McCormick, "LAMANet: A real-time, machine learning-enhanced approximate message passing detector for massive MIMO,"IEEETrans.VeryLargeScale Integr. (VLSI) Syst., vol. 31, no. 3, pp. 382-395, 2023.doi:[[[10.1109/TVLSI.2022.3225505]]]
  • 13 M. A. Albreem et al., "Low complexity linear detectors for massive MIMO: A comparative study," IEEE Access, vol. 9, pp. 45740-45753, 2021.doi:[[[10.1109/ACCESS.2021.3065923]]]
  • 14 H. Prabhu, J. Rodrigues, O. Edfors, and F. Rusek, "Approximative matrix inverse computations for very-large MIMO and applications to linear pre-coding systems," in Proc. IEEE WCNC, 2013.doi:[[[10.1109/WCNC.2013.6554990]]]
  • 15 X. Zhang, H. Zeng, B. Ji, and G. Zhang, "Low-complexity implicit detection for massive MIMO using Neumann series," IEEE Trans. Veh. Technol., vol. 71, no. 8, pp. 9044-9049, 2022.doi:[[[10.1109/TVT.2022.3172950]]]
  • 16 C. Tang, C. Liu, L. Yuan, and Z. Xing, "High precision low complexity matrix inversion based on Newton iteration for data detection in the massive MIMO," IEEE Commun. Letts., vol. 20, no. 3, pp. 490-493, 2016.doi:[[[10.1109/LCOMM.2015.2514281]]]
  • 17 F. Jin, Q. Liu, H. Liu, and P. Wu, "A low complexity signal detection scheme based on improved Newton iteration for massive MIMO systems," IEEE Commun. Letts., vol. 23, no. 4, pp. 748-751, 2019.doi:[[[10.1109/LCOMM.2019.2897798]]]
  • 18 J. Minango and C. De Almeida, "Optimum and quasi-optimum relaxation parameters for low-complexity massive MIMO detector based on richardson method," Electron. Letts., vol. 53, no. 16, pp. 1114-1115, 2017.doi:[[[10.1049/el.2017.1910]]]
  • 19 B. Y . Kong and I.-C. Park, "Low-complexity symbol detection for massive MIMO uplink based on jacobi method," in Proc. IEEE PIMRC, 2016.doi:[[[10.1109/PIMRC.2016.7794623]]]
  • 20 X. Gao, L. Dai, Y . Hu, Z. Wang, and Z. Wang, "Matrix inversion-less signal detection using sor method for uplink large-scale MIMO systems," in Proc. IEEE GLOBECOM, 2014.doi:[[[10.1109/GLOCOM.2014.7037314]]]
  • 21 Y . Hu, Z. Wang, X. Gaol, and J. Ning, "Low-complexity signal detection using cg method for uplink large-scale MIMO systems," in Proc. IEEE ICCS, 2014.doi:[[[10.1109/ICCS.2014.7024849]]]
  • 22 L. Dai et al., "Low-complexity soft-output signal detection based on Gauss-Seidel method for uplink multiuser large-scale MIMO systems," IEEE Trans. Veh. Technol., vol. 64, no. 10, pp. 4839-4845, 2014.doi:[[[10.1109/TVT.2014.2370106]]]
  • 23 S. Berra, M. A. Albreem, and M. S. Abed, "A low complexity linear precoding method for massive MIMO," in Proc. IEEE UCET, 2020.doi:[[[10.1109/UCET51115.2020.9205420]]]
  • 24 S. Mi, J. Zhang, F. Fan, B. Yan, and M. Wang, "Low complexity detection algorithms based on ADMIN for massive MIMO," China Commun., pp. 1-11, 2023.doi:[[[10.23919/JCC.ea.2022-0183.202302]]]
  • 25 M. Albreem, M. Juntti, and S. Shahabuddin, "Efficient initialisation of iterative linear massive MIMO detectors using a stair matrix," Electron. Letts., vol. 56, no. 1, pp. 50-52, 2019.doi:[[[10.1049/el.2019.2938]]]
  • 26 T. L. Marzetta, "Noncooperative cellular wireless with unlimited numbers of base station antennas," IEEE Trans. Wireless Commun., vol. 9, no. 11, pp. 3590-3600, 2010.doi:[[[10.1109/TWC.2010.092810.091092]]]
  • 27 F. Jiang, C. Li, Z. Gong, and R. Su, "Extrinsic information analysis of a new iterative method using the stair matrix for massive MIMO uplink signal detection," IEEE Wireless Commun. Letts., vol. 7, no. 6, pp. 1022-1025, 2018.doi:[[[10.1109/LWC.2018.2849720]]]
  • 28 F. Jiang, C. Li, Z. Gong, and R. Su, "Stair matrix and its applications to massive MIMO uplink data detection," IEEE Trans. Commun., vol. 66, no. 6, pp. 2437-2455, 2018.doi:[[[10.1109/TCOMM.2017.2789211]]]
  • 29 D. K. Salkuyeh, "Generalized Jacobi and Gauss-Seidel methods for solving linear system of equations," Numer. Math. J. Chinese Univ. (English Ser.), vol. 16, no. 2, p. 164-170, 2007.custom:[[[-]]]
  • 30 S. Chakraborty, N. B. Sinha, and M. Mitra, "Likelihood ascent searchaided low complexity improved performance massive MIMO detection in perfect and imperfect channel state information," Int. J. Commun. Syst., vol. 35, no. 8, p. e5113, 2022.doi:[[[10.1002/dac.5113]]]
  • 31 M. A. Albreem and K. Vasudevan, "Efficient hybrid linear massive MIMO detector using Gauss-Seidel and successive over-relaxation," Int. J. Wireless Inf. Netw., vol. 27, no. 4, pp. 551-557, 2020.doi:[[[10.1007/s10776-020-00493-5]]]
  • 32 F. Rusek et al., "Scaling up MIMO: Opportunities and challenges with very large arrays," IEEE Signal Process. Mag., vol. 30, no. 1, pp. 40-60, 2013.doi:[[[10.1109/MSP.2011.2178495]]]
  • 33 J. Minango and C. de Almeida, "Low complexity zero forcing detector based on Newton-schultz iterative algorithm for massive MIMO systems," IEEE Trans. Veh. Technol., vol. 67, no. 12, pp. 11759-11766, 2018.doi:[[[10.1109/TVT.2018.2874811]]]
  • 34 G. Avdelas and A. Hadjidimos, "Optimum accelerated overrelaxation method in a special case," Math. Comput., vol. 36, no. 153, pp. 183-187, 1981.doi:[[[10.2307/2007734]]]
  • 35 L.-B. Cui, C.-X. Li, and S.-L. Wu, "The relaxation convergence of multisplitting AOR method for linear complementarity problem," Linear Multilinear Algebra, vol. 69, no. 1, pp. 40-47, 2021.doi:[[[10.1080/03081087.2018.1511680]]]
  • 36 B. Y . Kong and I. C. Park, "Low-complexity symbol detection for massive MIMO uplink based on Jacobi method," in Proc. IEEE Int. Symp. Pers., Indoor, Mobile Radio Commun., 2016.doi:[[[10.1109/PIMRC.2016.7794623]]]
  • 37 H. Lu, "Stair matrices and their generalizations with applications to iterative methods I: A generalization of the successive overrelaxation method," SIAM J. Numerical Anal., vol. 37, no. 1, pp. 1-17, 1999.doi:[[[10.1137/S0036142998343294]]]
  • 38 X.-h. Shao, H.-l. Shen, and C.-j. Li, "Applications of stair matrices and their generalizations to iterative methods," Applied Math. Mechanics, vol. 27, no. 8, pp. 1115-1121, 2006.doi:[[[10.1007/s10483-006-0812-y]]]
  • 39 R.-S. Ran and T.-Z. Huang, "An inversion algorithm for a banded matrix," Comput. Math. Appl., vol. 58, no. 9, pp. 1699-1710, 2009. (Online). Available: https://www.sciencedirect.com/science/article/pii/S0898122109005902doi:[[[10.1016/j.camwa.2009.07.069]]]
  • 40 X. Liu and J. Zhang, "A signal detection algorithm based on chebyshev accelerated symmetrical successive over-relaxation iteration for massive MIMO system," in Proc. IEEE WCSP, 2017.doi:[[[10.1109/WCSP.2017.8171111]]]
  • 41 A. M. Tulino, S. Verd´ u et al., "Random matrix theory and wireless communications," Foundations and Trends® in Communications and Information Theory, vol. 1, no. 1, pp. 1-182, 2004.doi:[[[10.1561/0100000001]]]
  • 42 Z. Zhang, X. Dai, Y . Dong, X. Wang, and T. Liu, "A low-complexity signal detection utilizing AOR iterative method for massive MIMO systems," China Commun., vol. 14, no. 11, pp. 269-278, 2017.doi:[[[10.1109/CC.2017.8233666]]]
  • 43 L. Fang, L. Xu, and D. D. Huang, "Low complexity iterative mmse-pic detection for medium-size massive MIMO," IEEE Wireless Commun. Letts., vol. 5, no. 1, pp. 108-111, 2016.doi:[[[10.1109/LWC.2015.2504366]]]

Table I

COMPUTATIONAL COMPLEXITY OF THE ITERATION STAGE IN ITERATIVE METHODS.
Method Number of multiplications
AOR based detector [TeX:] $$\frac{n}{2}\left(3 K^2+7 K\right)$$
SOR based detector [TeX:] $$4 n K(K+1)$$
GS based detector [TeX:] $$(n+1) K^2+4 K$$
JA based detector [TeX:] $$4(n+1) K^2+2(n+4) K$$
RI based detector [TeX:] $$n K(4 K+3)$$

Table II

COMPUTATIONAL COMPLEXITY OF PROPOSED DETECTORS.
Detector Number of multiplications
MMSE based detector [43] [TeX:] $$8 K^2+4 K^3+4 N\left(K^2+K\right)$$
Detector in [17] [TeX:] $$(3-2 n) N K$$
AOR based detector 1 [TeX:] $$\frac{n}{2}\left(3 K^2+7 K\right)+8(K N+K)$$
SOR based detector 1 [TeX:] $$4 n K(K+1)+8(K N+K)$$
GS based detector 1 [TeX:] $$(n+1) K^2+4 K+8(K N+K)$$
JA based detector 1 [TeX:] $$4(n+1) K^2+2(n+4) K+8(K N+K)$$
RI based detector 1 [TeX:] $$n K(4 K+3)+8(K N+K)$$
AOR based detector 2 [TeX:] $$\frac{n}{2}\left(3 K^2+7 K\right)+8(K N+K)+3(K-1)$$
SOR based detector 2 [TeX:] $$4 n K(K+1)+8(K N+K)+3(K-1)$$
GS based detector 2 [TeX:] $$(n+1) K^2+8(K N+K)+3(K-1)$$
JA based detector 2 [TeX:] $$4(n+1) K^2+2(n+4) K+8(K N+K)+3(K-1)$$
RI based detector 2 [TeX:] $$n K(4 K+3)+8(K N+K)+3(K-1)$$
AOR based detector 3 [TeX:] $$\frac{n}{2}\left(3 K^2+7 K\right)+8(K N+K)+2 p K^2+(3 p+5) p K$$
SOR based detector 3 [TeX:] $$4 n K(K+1)+8(K N+K)+2 p K^2+(3 p+5) p K$$
GS based detector 3 [TeX:] $$(n+1) K^2+8(K N+K)+2 p K^2+(3 p+5) p K$$
JA based detector 3 [TeX:] $$4(n+1) K^2+2(n+4) K+8(K N+K)+2 p K^2+(3 p+5) p K$$
RI based detector 3 [TeX:] $$n K(4 K+3)+8(K N+K)+2 p K^2+(3 p+5) p K$$
Exact solution of a linear system with a stair matrix
Massive MIMO detectors based on the NI and identity matrix (Detector 1)
Proposed massive MIMO detectors based on (1) the stair matrix (2) the NI and stair matrix (Detector 2)
Proposed massive MIMO detectors based on the NI and band matrix (Detector 3)
Performance comparison of the proposed detectors, the MMSE based detector, the conventional iterative methods, and the detector in [ 17], in 20× 160 MIMO, 16QAM: (a) Detector 1, (b) Detector 2, and (c) Detector 3.
Performance comparison of the proposed detectors, the MMSE based detector, conventional iterative methods, and the detector in [ 17], in 20×160 MIMO, 64QAM: (a) Detector 1, (b) Detector 2, and (c) Detector 3.
Performance comparison of proposed detectors, the MMSE based detector, conventional iterative methods, and the detector in [ 17], in 40×160 MIMO, 64QAM: (a) Detector 1, (b) Detector 2, and (c) Detector 3.
Performance comparison between proposed detectors, MMSE based detector, and the detector in [ 17], 30×160 MIMO, QPSK where perfect and imperfect CSI are considered.
Complexity comparison as a function of the number of transmitting antennas, n = 1, p = 5, and N = 160.
Complexity comparison between proposed detectors, MMSE based detector, and the detector in [ 17] to achieve BER= [TeX:] $$10^{-4}$$, 40×160 MIMO, and 64QAM.