PDF  PubReader

Byun: Decentralized Gene Regulatory Networks: An Approach to Energy Efficient Node Coordination with Delay Constraints for Wireless Sensor Systems

Heejung Byun

Decentralized Gene Regulatory Networks: An Approach to Energy Efficient Node Coordination with Delay Constraints for Wireless Sensor Systems

Abstract: Wireless sensor networks(WSNs) systems have been used for several applications from target tracking to environment monitoring. Recently, there has been increased interest in the design of WSN protocols for delay-sensitive applications, such as military surveillance, health monitoring, and infrastructure security. However,due to the strict resource constraints of the sensor nodes, WSNs pose critical challenges for network protocol design for reliable communications with delay constraints. Biologically inspired modeling techniques have received considerable attention for their robustness, scalability, and adapt ability with simple local interactions and limited information. In this paper,we apply generegulatory networks (GRNs) principles to the WSN system and propose a new GRN model for decentralized node coordination to achieve energy saving while meeting delay requirements. Using control theory, we provide conditions of system parameters to ensure system convergence and stability. Simulation results indicate that the proposed scheme achieves superior performance with energy savings as well as desirable delay guarantees compared with other well known schemes.

Keywords: biologically-inspired algorithm , delay constraints , energy saving , node coordination , wireless sensor systems

1. INTRODUCTION

WIRELESS sensor networks (WSNs) connect devices that can sense and monitor physical phenomena for a wide variety of applications, such as environmental monitoring, target tracking, pervasive security, health monitoring, disaster management and recovery. Recently, delay-sensitive applications, such as, emergency and rescue applications, require application specific functionalities and performance guarantees. Also, large scale WSNs demand a high level of decentralized optimization that achieves global performance based on each node’s knowledge of its local state and local interactions with its neighbors.

A number of works have been proposed to achieve a good tradeoff between power consumption and delay [1]– [4]. Adaptive listening [1] proposed the use of overhearing to reduce the sleep delay. Dynamic sensor medium access control (DSMAC) [2] dynamically changed each node’s duty cycle to meet applications’ demands so that a node increases its duty cycle by adding extra active periods when it requires less delay or when the traffic load increases. Utilization-based medium access control (U-MAC) [3] tuned its duty cycle based on a utilization function, which is the ratio of the actual transmission and receptions performed by the node over the whole active period. Dynamic duty controller [4] was proposed for end-toend delay guarantees in wireless sensor networks. In systems with cluster [5], cluster heads dynamically change so that nodes with larger remaining energy become cluster heads. Also, methods that optimize the sensor energy utilization while achieving energy balancing were proposed [6], [7]. Concepts and principles derived from immune system, insect colonies, activatorinhibitor systems, and ant colony systems have been applied to WSN system design [8], [9].

However, these existing works with aim of delay guarantees in WSN require a significant amount of signaling from the neighboring nodes for the computation of the time delay, which may lead to processing overhead and resource wastage. In addition, they cannot effectively control the delay under network condition changes.

Recently, the biological systems, gene regulatory networks (GRNs), a representation of genes/proteins and the interactions between them, have been used for robust network design [10]– [14]. The analogy between GRNs and WSNs is evident; in WSN, sensing, actuation, transmission are the main duties of the sensor node. These tasks do not require a complicated processing and a central entity. The sensor nodes are randomly deployed to cover a geographical space and prone to different types of failures. Hence, the network should apply a fault-tolerant and self-organizing mechanism. Like sensor nodes, genes perform major functions, i.e., sensing, actuating, and signaling. In their sensing phase, genes sense the levels of proteins in the cells through signals mediated by other interacting genes and environmental variables, to determine their own gene expression levels. Then, in the actuating phase, each gene produces activator or inhibitor proteins to regulate the expression level of other genes in the network. In the signaling phase, genes interact with other genes to regulate protein levels in the cell. In [15], the authors determined the locations of wireless sensor nodes using GRN topology to achieve robustness and resilience to node failures. In [16], the authors proposed a GRN model to solve the issue of optimal coverage in WSNs. In specific, a non-linear differential equation model of GRN was used to identify the minimum number of sensors required for maximum coverage in WSNs. In [17], the authors used the non-linear differential equation based model to emulate the evolution process of genes in GRNs for network self-configuration. In [18],the authors proposed an embedded controller that offers every sensor the ability to regulate its sampling rate based on its data and its neighbors’ behavior and shared information. In [19], the authors showed how a GRN inspired controller can be used to configure submarines robots. In [20], the authors proposed the use of the attractor theory in GRN to achieve a fault-tolerant WSN routing. In [21], the authors proposed a distributed GRNbased algorithm for a multi-robot system to organize themselves autonomously into predefined shapes. The movement dynamics of each robot is described by a GRN model, where the concentration of two proteins represents the positions of the robots, and that of the proteins represent the internal state of the robot. A simple self-organizing control scheme using GRN principle was proposed [22]. This work was designed to build a heuristic controller that determines the behavior of a node considering only the internal state of the node. However, these GRN-inspired approaches have not been designed to generate a specific desired behavior for delay-sensitive applications [23]. Thus, the individual behavior with local interaction does not always meet application-specific performance requirements. Even for the biologically inspired algorithms that have been optimized for decentralized implementation for WSNs, considerable issues remain.The most notable one is that the behaviors of a node are usually based on some predefined heuristics, and thus it is difficult to ensure that the system can achieve a specific desired performance of delay-sensitive application. Furthermore, the dynamics of GRN are described by a predefined partial differential equation, which can only be efficient for specific tasks. If the environment and application requirement change, existing schemes cannot adapt to those changes, and this is not robust enough for dynamic WSN environments.

To address these issues, we propose a new GRN model with a reaction-diffusion mechanism for the node coordination design of WSNs, which aims to automatically schedule the node state of each node. The dynamics of node coordination are described by the proposed GRN model, where the on-off cycles of the sensor nodes are coordinated based on energy consumption level and application-specific performance requirements. Considering external factors, such as end-to-end delay, energy consumption level, and transcription factors diffused from other nodes, the proposed scheme controls the expression level of a gene and the concentration of protein in order to achieve energy savings while meeting delay requirements in WSNs.

The remainder of the paper is organized as follows. In Section II, the GRN-inspired node coordination scheme is proposed and a theoretical analysis of the system convergence and stability is provided. To evaluate the proposed scheme, several simulation results are presented in Section III. Conclusions and future works are discussed in Section IV.

GRN-BASED ALGORITHM FOR DECENTRALIZED NODE COORDINATION

System Model

We consider a WSN system consisting of N sensor nodes. Let N = [TeX:] $$\{1,2, \dots, N\}$$ denote the set of nodes in the WSN. The set of neighboring nodes of a node i[TeX:] $$ (1 \leq i \leq N) $$ is denoted as [TeX:] $$\mathbf{N}_{\mathbf{i}}(\subseteq \mathbf{N})$$ . The sensor nodes are randomly deployed to cover

Notation Description
gi The mRNA level of sensor node i.
pi The protein level of sensor node i.
Ni The cardinality of Ni
Ei The consumed energy level of sensor node i.
[TeX:] $$\bar{E}_{i}$$ The ratio of Ei to the neighbors' average.
di The delay between the node i and the sink node.
dr The delay requirement of an application.
[TeX:] $$ f_{g}^{h} $$ The inhibition function.
[TeX:] $$ f_{p}^{a} $$ The activation funtion.

a geographical space. Each node has two states: ON and OFF. If the sensor is ON, it enters the active state. It works normally,sampling and communicating with its environment. If the senor is OFF, it enters the sleep state which helps save its energy. Each sensor node changes its state based on the proposed scheme. We introduce the notations used in the paper in Table 1.

B. System Design

The main principle of the proposed scheme is as follows: each gene produces a certain protein based on the level of energy consumption of the node and its concentration of protein. The protein is produced according to the gene expression, application-specific delay requirement, and gene product diffused from other cells. Here, the protein regulates the expression of the gene that produces it. Also, each node diffuses gene product to its neighbors to manage energy consumption level efficiently.

The proposed scheme is designed for two objectives: one is to save the energy consumption by equalizing the gene expression with each other via diffusion, and the other one is to meet the delay requirement of an application by regulating the protein concentrations. To do this, we propose a new system dynamics of the GRN for decentralized node coordination of WSNs. Specifically, the dynamics of node coordination are described by the proposed GRN model, where the on-off cycles of the sensor nodes are coordinated based on energy consumption level and application-specific performance requirements. Considering external factors, such as end-to-end delay, energy consumption level, and transcription factors diffused from other nodes, the proposed scheme controls the expression level of a gene (internal state of a node) and the concentration of protein (active state of a node) in order to achieve energy savings while meeting delay requirements in WSNs.

We denote the gene expression (mRNA) level of gi to be internal state of sensor node i and the concentration level of protein pi as the probability of being an active state of sensor node i. In order to consider the consumed energy level and applicationspecific requirement, we introduce [TeX:] $$\bar{E}_{1}$$ and [TeX:] $$\bar{D}_{1}$$:

(1)
[TeX:] $$ \bar{E}_{i}=\frac{E_{i}}{\sum_{\forall j \in \mathbf{N}_{i}} E_{j} / N_{i}} $$

(2)
[TeX:] $$ \bar{D}_{i}=d_{i}-d_{r} $$

The dynamics of the proposed GRN model is defined by the following equations:

(3)
[TeX:] $$ \frac{d g_{i}}{d t}=-a g_{i}+\eta f_{g}^{h}\left(\bar{E}_{i} p_{i}\right) $$

(4)
[TeX:] $$ \frac{d p_{i}}{d t}=-c p_{i}+\kappa f_{p}^{a}\left(\bar{D}_{i} g_{i}\right)+b \sum_{V j \in \mathbf{N}_{\mathbf{l}}}\left(g_{i}-g_{j}\right) $$

where α and c are the decay rates of mRNA and protein concentration, respectively η and κ are the synthesis rate of mRNA and protein concentration, respectively. Functions [TeX:] $$ f_{g}^{h} $$ and [TeX:] $$ f_{p}^{a} $$ are defined as follows:

(5)
[TeX:] $$ f_{g}^{h}(x)=e^{-x} $$

(6)
[TeX:] $$ f_{p}^{a}(x)=\frac{1-e^{-x}}{1+e^{-x}} $$

The gene expression g of (3) represents the local environmental state of a node in WSNs. In specific, the expression level of the gene of a node is determined by its consumed energy level and protein concentration. When the consumed energy level of a node is larger than the average over its neighbors or the protein concentration increases, the level of gene becomes smaller, and vice versa. Considering (4), the concentration of protein is determined by the gene expression level and external factors, i.e., the delay requirement of an application and transcription factors diffused from other nodes. When the measured delay is larger than the delay requirement or the expression level of gene is larger than the average over all the neighbors, the protein concentration increases, and vice versa. The last term of (4) specifies the sum of the concentration of g diffused from neighboring nodes, which aims to keep the energy consumption of nodes in balance. The diffusion term in the regulatory model simulates intercellular signaling in a multi-cellular system.

When each sensor node determines its protein concentration, it generates a random value ω following the uniform distribution within [0, 1]. Each node independently generates a random value. If the protein concentration is less than ω, then the node goes to sleep. On the other hand, if the protein concentration is greater than ω, the node becomes active by turning on its sensing circuitry.

Fig. 1 shows plots of inhibition function [TeX:] $$ f_{g}^{h}(x) $$ and activation function [TeX:] $$ f_{p}^{a}(x) $$. Inhibition function [TeX:] $$ f_{g}^{h} $$ decays with the pro-tein concentation and the decay rate of [TeX:] $$ f_{g}^{h} $$ increases with [TeX:] $$ \bar{E} $$. In other words, as the value of protein concentration increases or the consumed energy level is rather large compared to that of its neighbor, the local condition represented by gene expression g gets worse. The activation function [TeX:] $$ f_{p}^{a}(x) $$. has symmetrical shapes around the g-axis. When [TeX:] $$ \bar{D} $$ > 0, as the lcoal condi-tion becomes better (larger g), the value of [TeX:] $$ f_{p}^{a}(x) $$ increases, which leads to a higher probability of being active. Also, [TeX:] $$ f_{p}^{a}(x) $$ increases rapidly as the measured delay is larger than the desired delay requirement. A positive [TeX:] $$\bar{D}$$ means the measured delay exceeds the delay requirement, which makes the protein concentration increase, resulting in an increase in active sensor nodes. On the contrary, when [TeX:] $$\bar{D}$$ < 0, the protein concentration decreases due to negative value of [TeX:] $$ f_{p}^{a}(x) $$. This leads to more sensor nodes going to sleep and energy savings.

Fig. 1.

(a) Inhibition function [TeX:] $$ f_{g}^{h}(x) $$. and (b) activation function [TeX:] $$ f_{p}^{a}(x) $$.
1.png

In summary, the gene expression g and protein concentration p regulate each other via positive or negative feedback: when the measured delay exceeds the delay requirement or the gene expression level is larger than the average among neighbors, the protein concentration increases, which leads to a higher probability of being active. This leads to delay reduction with more frequent packet transmission. Meanwhile, the increased protein concentration represses the expression of gene due to the degraded local environment quality, caused by increases in energy consumption. The repressed gene regulates the protein concentration again, which leads to an increase of sleep time and energy saving. Consequently, the decreased protein concentration and lower [TeX:] $$\bar{E}$$ promote the gene expression, and this gene expression also promotes the protein concentration. On the other hand, the increased protein concentration and higher [TeX:] $$\bar{E}$$ repress the gene expression, resulting in energy balancing with an increase of sleep time. Through these interactions with each other, the proposed scheme governs the state of each node by regulating the gene expression and protein concentration according to the consumed energy level and the measured delay.

The proposed scheme requires sensor nodes to store gene expression, protein concentration, and delay information. For the implementation, we consider a control period, τ. When the source node transmits a packet, it includes a time-stamp indicating the send time. With every control period, the sink node measures the packet delay from the source node to itself and broadcasts the packet with the delay information, namely, the difference between the measured delay and the delay requirement. Each node stores the delay information in the table. The initial value of delay information is zero and it is reset to the initial value every control period. If a node receives a packet during a control period, the node updates its stored delay information to be the maximum one between the previously stored delay information and the delay information from the received packet. Then the node forwards the packet with its gene expression level to the neighbors. Every control period, a sensor node reevaluates (4) using the delay information and g diffused from neighboring nodes.

C. Theoretical Analysis

In this section, a theoretical analysis of the proposed system’s convergence and stability is provided. We develop a discretetime formula of the model in which the control scheme updates take place every control period τ. Thus, the time is divided into [k; k + 1), k = 0, 1, …, with time duration equal to τ. Then, (3)–(4) can be formulated as follows:

(7)
[TeX:] $$ g_{i}(k+1)=(1-a) g_{i}(k)+\eta f_{g}^{h}\left(\bar{E}_{i} p_{i}(k)\right) $$

(8)
[TeX:] $$ \begin{aligned} p_{i}(k+1)=&(1-c) p_{i}(k)+\kappa f_{p}^{a}\left(\bar{D}_{i} g_{i}(k)\right) \\ &+b \sum_{j=1}^{N_{i}}\left(g_{i}(k)-g_{j}(k)\right) \end{aligned} $$

Let gis and pis be the strad state values of gi and pi, respectively. From (7)-(8), the steady states of gis and pis are derived as follows:

(9)
[TeX:] $$ g_{i s}=\frac{\eta}{a} e^{-E_{i s p_{i s}}}=\frac{1}{N_{i}} \sum_{j=1}^{N_{s}} g_{i s} $$

(10)
[TeX:] $$ p_{i s}=\frac{\kappa}{c}\left(\frac{1-e^{-g_{i s} \bar{D}_{i s}}}{1+e^{-g_{i s} \bar{D}_{i s}}}\right) $$

where [TeX:] $$\bar{E}_{i s}$$ and [TeX:] $$\bar{D}_{i s}$$ are the steady states of [TeX:] $$\bar{E}_{i}$$ and [TeX:] $$\bar{D}_{i}$$, respectively. For [TeX:] $$\forall i \in \mathbf{N}$$, since 0 < pis < 1, we obtain 0 < κ / c < 1. In order to ensure the energy balancing among nodes, we pro-vide the following Lemma.

Lemma 1: For each node, the steady state value of the gene expression is given by

(11)
[TeX:] $$ g_{i s}=g_{j s}, \forall i \neq j\\ Proof: Let $\varphi_{i j}=g_{i s}-g_{j s}$ and $\bar{g}_{i s}=\frac{1}{N_{i}} \sum_{j \in \mathbb{N}_{i}} g_{j s}$ $$

From (8) and (9), we obtain [TeX:] $$\sum_{j=1}^{N_{i}} \varphi_{i j}=0$$ which means that

(12)
[TeX:] $$ g_{i s}-\bar{g}_{i s}=\frac{1}{N_{i}} \sum_{j \in \mathbf{N}_{i}} \varphi_{i j} $$

Then, (12) means that

(13)
[TeX:] $$ g_{i s}=\bar{g}_{i s}, \forall i $$

That is, there is a zero fixed point [TeX:] $$\varphi_{i j}= 0$$, [TeX:] $$\forall i \neq j$$. Conse-quently, we obtain the following steady states of the system for all i and j:

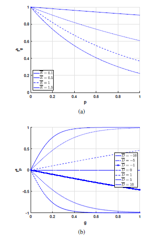
Fig. 2.

Relationship between the steady states of the protein level and gene expression level (p is and g is varying: (a) The ratio of the consumed energy level to the neighbors' average ( [TeX:] $$\bar{E}$$) and the difference between delay and delay requirement ( [TeX:] $$\bar{D}$$) and (b) parameters η/,κ/c.
1.png

(14)
[TeX:] $$ \begin{aligned} g_{i s} &=\bar{g}_{i s} \\ g_{i s} &=g_{j s} \\ p_{i s} &=p_{j s} \\ \bar{E}_{i s} &=\bar{E}_{j s} \end{aligned} $$

From these equations, we see that the proposed scheme balances the energy consumption among nodes by converging the gene expression level to the average one for all the neighbor nodes and this makes the energy consumption level balanced globally among all nodes. Fig. 2(a) shows the relationship between pis and gis defined (9)-(10) varying [TeX:] $$\bar{E}$$ and [TeX:] $$\bar{D}$$. As [TeX:] $$\bar{E}$$ becomes larger, the local environmental state becomes worse (lower gis), resulting ing a smaller pis. That is, when the consumed energy resulting in a smaller pis. That is, when the consumed energy level of a node is larger than the average level over its neighbors, the probability of being activated becomes low and the node is set to sleep mode instead of active mode. On the contrary, when the consumed energy level of of a node is smaller than the average level over its neighbor, the probability of being activated becomes high and the node is set to active mode. In this way, the energy consumption levels can be balanced among nodes in WSNs. On the other hand, as the measured delay has exceeded the desired value, [TeX:] $$\bar{E}$$ becomes larger, resulting ing a rapid increase of pis. It means that the probability of the node to be selected as an active node becomes higher, which leads to delay reduction with more frequent packet transmission. On the contrary, as the measured delay is lower than the desired value, [TeX:] $$\bar{E}$$ becomes negative and pis decreases. A smaller pis makes the probability of the node to be active becomes lower, which leads to avoid unnecessary energy consumption. Fig. 2(b) shows the relationship between pis and gis varying control parameter η/c and κ/c. Increasing the values of η /c and κ / c makes pis reach a high value easily, which affects convergence speed. In specific, smaller values of η/c and κ/c leads to longer convergence time, while larger values may destabilize a system by incurring oscillatory behavior. Therefore, we need to provide a guide to configure related parameters to ensure system stability and expedite the convergence process.

Next, we prove the system’s stability and provide a guide of parameter selections. For simplicity, we neglect the dynamics of the protein diffusion in the proof of the system convergence. Also, we consider that [TeX:] $$\bar{E}_{i}$$ and [TeX:] $$\bar{D}_{i}$$ are arbitary constatns, such as [TeX:] $$\bar{E}_{i} = \bar{D}_{i} = 1$$. However, the results of this paper can be generalized to the time-dependent variables of [TeX:] $$\bar{E}_{i}$$, [TeX:] $$\bar{D}_{i}$$. Then, (7)-(8) can be rewritten as follows:

(15)
[TeX:] $$ g_{i}(k+1)=(1-a) g_{i}(k)+\eta f_{g}^{h} |\left(p_{i}(k)\right) $$

(16)
[TeX:] $$ p_{i}(k+1)=(1-c) p_{i}(k)+\kappa f_{p}^{a} |\left(g_{i}(k)\right) $$

Theorem 1: The proposed system converges to the steady states defined by (14) provided that

(17)
[TeX:] $$ \begin{aligned} 0 <a, \eta, c, \kappa<1 \\ 0 <\kappa<c \\ 0 <\kappa<\sqrt{a(1-a)} \\ C_{1}+C_{2} <c(2-c) \end{aligned} $$

where

(18)
[TeX:] $$ \begin{aligned} &C_{1}=\left(\epsilon^{2}+\frac{(1-a)^{2}}{a}+1\right) \eta^{2}\\ &C_{2}=\frac{((1-a) \eta \epsilon-(1-c) \kappa)^{2}}{a-\left(a^{2}+\kappa^{2}\right)} \end{aligned} $$

Therefore, the energy consumption level of each node is balanced across the networks by converging its energy consumption level to the average level over its neighbors.

Proof: Since [TeX:] $$f_{g}^{h}$$ and [TeX:] $$f_{p}^{a}$$ are inhibition and activation funtion, respectively, we can draw the following conclusions:

· [TeX:] $$f_{g}^{h}(x)=e^{-x} \leq 1-\epsilon x$$,

[TeX:] $$\left|f_{p}^{a}(x)\right|=\left|\left(1-e^{-x}\right) /\left(1+e^{-x}\right)\right| \leq|x| and \left|f_{p}^{a}(x)\right|=|x| only if x=0$$, where [TeX:] $$1-e^{-1}$$ .

For the system stability analysis, we use Lyapunov Theory [24] to claim that the system defined by (7)-(8) will be convergent if we can find a Lyapunov function V (gi(k), pi(k)) that satisfies the following conditions:

· [TeX:] $$V\left(g_{i}(k), p_{i}(k)\right)$$,

· [TeX:] $$V\left(g_{i}(k+1), p_{i}(k+1)\right)-V\left(g_{i}(k), p_{i}(k)\right) is negative definite;$$,

We consider the Lyapunov function in the following form:

(19)
[TeX:] $$ V\left(g_{i}(k), p_{i}(k)\right)=g_{i}^{2}(k)+p_{i}^{2}(k) $$

Here, we remove the subscript i since every node shares the same dynamics. We denote V(k) = V (g(k), p(k)) and ob-viously v(k) ≥. Let ΔV(k) = V(g(k+1), p(k+1)) - V(g(k), p(k)). Then, we can get

(20)
[TeX:] $$ \begin{aligned} \Delta V(k)=&\left((1-a) g+\eta f_{g}^{h}(p)\right)^{2}-g^{2} \\ &+((1-c) p+\kappa g)^{2}-p^{2} \\ \leq &((1-a) g+\eta(1-\epsilon p))^{2}-g^{2} \\ &+\left((1-c)^{2}+\kappa g\right)^{2}-p^{2} \end{aligned} $$

Let [TeX:] $$C_{2}=-B^{2} / A$$, where [TeX:] $$ A=\left(-a+a^{2}+\kappa^{2}\right), [TeX:] $$B = (1-a) \epsilon \eta-(1-c) \kappa$$. Then, (20) can be rewritten as follows:

[TeX:] $$ \begin{aligned} \Delta V(k) \leq & A\left(g-\frac{B}{A} p\right)^{2}-a\left(g-\frac{(1-a)}{a} \eta\right)^{2}-2 c+c^{2} \\ &-\frac{B^{2}}{A}+\left(\epsilon^{2}+\frac{(1-a)^{2}}{a}+1\right) \eta^{2} \end{aligned} $$

So, if the following stability conditions are satisfied, we can en-sure Δ V(k) ≤ 0.

1. [TeX:] $$ 0<a, \eta, c, \kappa<1

2. [TeX:] $$ 0<\kappa<c $$

3. [TeX:] $$ A=-a+a^{2}+\kappa^{2}<0 \Rightarrow \kappa<\sqrt{a(1-a)} $$

4. [TeX:] $$ -\frac{B^{2}}{A}+\left(\epsilon^{2}+\frac{(1-a)^{2}}{a}+1\right) \eta^{2}<c(2-c)\\ \\ \Rightarrow \frac{((1-a) \eta \epsilon-(1-c) \kappa)^{2}}{a-\left(a^{2}+\kappa^{2}\right)}+\left(\epsilon^{2}+\frac{(1-a)^{2}}{a}+1\right) \eta^{2}<c(2-c) $$

By Lyapunov theorem, the equilibrium point is asymptotically stable if there is a continuous positive definite function V(k), that is, V(0) = 0 and V(k) < 0 for k 0, so that Δ V(k) is negative definite> Based on the above analysis, both conditions of the Lyapunov function V have been satisfied, thus we can claim that the system is stable and will converge to the steady states if the system parameters are selected according to the derived stability conditions. Therefore, our proposed GRN model automatically drives the WSN system performance to the desired application requirement while achieving energy balancing among sensor nodes.

III. SIMULATION RESULTS

A. Configurations

In order to evaluate the performance of our proposed algorithm, we develop a simulation environment using theMATLAB simulator. The simulation area is 100m X 100m, where the entire network is divided into equally shaped grids, and the sensor nodes are deployed uniformly. Source nodes generate packets in a Poisson distribution with an average packet arrival rate of one packet per second. Each packet is 100 bytes and the controller time slot duration (τ) is one second. We set the channel capacity to 200 kbps. According to the derived stability conditions of (17) and (18), we set α = η = c = 0.1 and κ = 0.05;

B.Results
B.1 Time behavior

We show the simulation results that indicate how the system behaves over time with the proposed algorithm. Fig. 3 shows the variation of g, p, average delay, and energy consumption. The average delay is the time between when the source nodes send packets and the sink node in the network receives the packets, averaged over all source nodes. We set the delay requirement for two different values, 10 s and 50 s, respectively. We set the number of neighbor nodes of each node to two (Ni = 2, ∀ i).

Fig. 3.

Time behavior of the proposed algorithm with two neighbor nodes for each node: (a) g and p with d r = 10 s, (b) [TeX:] $$\bar{E}$$ with d r = 10 s, (c) average delay with d r = 10s, (d) g and p with d r = 50 s, (e) [TeX:] $$\bar{E}$$ with d r = 50 s, and average delaywith d r = 50s.
3.png

Fig. 4.

Time behavior of the proposed algorithm with five neighbor nodes for each node: (a) g and p with d r = 10 s, (b) [TeX:] $$\bar{E}$$ with d r = 10 s, (c) average delay with d r = 10s, (d) g and p with d r = 50 s, (e) [TeX:] $$\bar{E}$$ with d r = 50 s, and average delaywith d r = 50s.
4.png

We denote g and p of node i as gi and pi, respectively. In order to show the performance of energy balancing, we set the initial power consumption of each node differently; the initial energy consumption of nodes 1, 2, and 3 are set to 0 mW, 10 mW, and 20 mW, respectively.

Figs. 3(a), 3(b), and 3(c) shows the results for dr=10 s. From Fig. 3(a), we observe that during the first 450 s, g3 is lower than g1 and g2. The lower g leads to a smaller p. i.e., a lower probability of achieving an active state. Since node 3 starts with lower initial battery power compared with node 1 and node 2, node 3 is considered less fit to be active compared to its neighbors, which leads to the smallest p among them, thereby going into sleep mode more often in order to save energy. Meanwhile, node 1 has relatively good local environmental quality in terms of consumed energy, resulting in the highest g and p among nodes, i.e., the highest probability of being active. After 450 s, g and p of all nodes become identical and converge to almost the same value. This means that the probabilities of becoming active are almost identical for all nodes, resulting in energy balancing among nodes. Fig. 3(b) shows the ratio of consumed energy level to the neighbors’ average, [TeX:] $$\bar{E}_{i}$$ (i = 1,2,3). The values of E1;E2;E3 become almost the same after 450 s in spite of the difference in initial power among nodes. Based on (1), it means [TeX:] $$E_{i}=\sum_{\forall j \in \mathbf{N}_{\mathbf{l}}} E_{j} / N_{i}$$, for all i. In this way, when an imbalance in the energy consumption level is detected, each node adapts its probability of being active and balances the energy consumption among the neighboring nodes by controlling both the gene expression and protein concentration. Fig. 3(c) shows the average delay and our proposed scheme keeps the average delay around the desired delay requirement, 10 s, for the entire simulation time. Figs. 3(d), 3(e), and 3(f) show the system behavior with d r = 50s. In Fig. 3(d), g and p become close to one and zero, respectively, during the first 100 s. This is due to the rather loose delay requirement compared to d r = 10s. The looser delay requirement causes a lower probability to be active state and sensor nodes go into sleep mode more often in order to save energy. Accordingly, as shown in Fig. 3(e), the gradient of [TeX:] $$\bar{E}$$ of each node is rather smaller than the result of Fig. 3(b). After 450 s, the energy consumption ratio of each node is stabilized to the same value of one. Also, Fig. 3(f) shows that the average delay lies around the desired delay requirement, dr = 50 s. after 200s.

Fig. 4 shows the variation of g, p, average delay, and energy consumption when the number of neighbor nodes of each node is five (Ni = 5, ∀i). The initial energy consumption of node i is set to (i-1) X 10mW (1 ≤ i ≤ 6). Similarly with the results of Fig. 3, Fig. 4(a) shows that the node with relatively low initial energy consumption ratio (i.e., the node has the rather good local environmental quality in terms of consumed energy) achieves a higher probability of being active state due to larger g and p. Figs. 4(b) and 4(e) show that the energy consumption ratio of each node converges to one in spite of the different initial power among nodes. Also, g and p of each node are controlled so that the average delay resides around each desired delay requirement as shown in Figs. 4(c) and 4(f).

From Figs. 3 and 4, we can say that the proposed scheme successfully achieves energy balancing among nodes and keeps the average delay to the desired delay requirement by controlling the gene expression and protein concentration. Also, the time behavior of the proposed scheme verifies that our proposed scheme achieves both energy balancing and delay guarantee in spite of the changes in the number of neighbor nodes and the differences in initial power. These results are consistent with the theoretical analysis in Subsection II.C.

Fig. 5.

Trajectories for different delay requirement cases: (a) Time-series plots of protein concentration, (b) delay, and (c) average protein concentration, active node ratio, and consumed energy level.
5.png

Fig. 5 shows the trajectories of protein concentration, delay, and the average active nodes ratio, consumed energy level for two different delay requirements, dr = 10 s and 50 s, respectively. The active node ratio is the ratio of the number of active nodes to the total number of sensor nodes. As shown in Fig. 5(a), the protein concentration with dr = 10 s is higher than that with dr = 50 s during the first 150 s. Also, the average delay successfully converges to each delay requirement as shown in Fig. 5(b). According to the results of (10) and Fig. 2(a), the stricter delay requirement brings the higher protein concentration and probability to be active state, which leads to more frequent packet transmission in order to meet the delay requirement. This causes a different result for each delay requirement in terms of the active node ratio and the consumed energy level. Fig. 5(c) validates the point mentioned above, that when the delay requirement becomes looser, the active node ratio slightly decreases, and energy consumption level becomes lower, resulting in energy savings.

B.2 Average behavior

In this section, we evaluate the average performance under the variable delay requirements. We vary the delay requirement within the range of [3 s, 50 s]. For each delay requirement, 1000 simulations are used to obtain averages of gene expression (G), protein concentration (P), active node ratio, delay and consumed energy level (E), so each point in the graphs represents an average of 1000 executions. To show the effectiveness of the proposed scheme, we compare the proposed algorithm to two existing schemes, QoS-guaranteeing duty cycle control (Q-DCC) [4] and GRN-based optimal coverage control (G-OCC) [16]. Q-DCC proposes a feedback controller which controls the duty cycle to guarantee an end-to-end communication delay while achieving the energy efficiency for WSNs. To do this, Q-DCC decomposes the end-to-end delay requirement problem into a set of single-hop delay requirement problems. The duty cycle of each node is determined based on the singlehop delay requirement and the actual packet delay, measured using time stamps. G-OCC introduces the GRN as a computing paradigm and demonstrates its effectiveness for sensor coverage. G-OCC assigns values of ON or OFF to each sensor node to attain the maximum possible coverage while simultaneously keeping the number of active sensors as low as possible to reduce power consumption. The sensor nodes turn ON when it acquires high values of its corresponding gene expression levels. A threshold is selected a priori, and any sensor with a higher value in its corresponding gene expression level can be turned ON.

Fig. 6.

Average performance varying delay requirements: (a) Gene expression (G), protein concentration (P) and (b) active node ratio.
6.png

Fig. 6 illustrates the average performance of the proposed scheme in terms of gene expression (G), protein concentration (P), and active node ratio for different delay requirements. As the delay requirement becomes looser, the value of G increases while protein concentration P decreases, which increases the number of nodes entering sleep mode instead of active mode, as shown in Fig. 6(b). On contrary, as the delay requirement become stricter, the active node ratio increases with the value of P, leading to more frequent packet transmissions in order to meet the delay requirement.

Fig. 7.

Average performance of the proposed algorithm, Q-DCC, and G-OCC varying delay requirements: (a) Delay and (b) energy consumption level.
7.png

Fig. 7 illustrates the average delay and consumed energy levels of the proposed algorithm, Q-DCC, and G-OCC. From Fig. 7(a), we observe that the proposed algorithm and Q-DCC successfully control the average delay according to the desired requirements. However, G-OCC keeps the average delay close to zero irrespective of the varying delay requirements. That leads to excessive energy consumption as shown in Fig. 7(b). Q-DCC shows a lower energy consumption level compared with G-OCC, but the energy consumption level is almost constant in spite of different delay requirements. In contrast, our proposed scheme achieves the smallest energy consumption ratio, while meeting delay requirements. Also, as the delay requirement becomes looser, the energy consumption level decreases, resulting in energy savings. This is because as the delay requirement becomes looser, the proposed algorithm makes a greater number of nodes enter sleep mode instead of active mode, resulting in much lower energy consumption compared to G-OCC and Q-DCC.

B.3 Convergence analysis

In this section, we investigate the effects of control parameters on the convergence speed. We measure the convergence time of our proposed scheme for different control parameters η, α, κ, c. The convergence time is determined by the total number of iterations until reaching an equilibrium point.

Fig. 8.

Convergence performance for different control parameters: (a) Convergence iteration with η/α = 0.5, 1.0, 1.5, (b) protein concentration with η/α = 0.5, 1.0, 1.5, (c) convergence iteration with κ/c = 0.25, 0.5, 0.75, and (d) protein concentration with κ/c = 0.25, 0.5, 0.75.
8.png

Figs. 8(a) and 8(b) illustrate the convergence iteration and protein concentration for η/α = 0.5, 1.0 and 1.5. As shown in Figs 8(a) and 8(b), the protein concentration increases with η/α, which makes the convergence speed faster. Figs. 8(c) and 8(d) show the convergence iteration and protein concentration for κ/c = 0.25, 0.50, and 0.75. Similarly, a larger value of κ/c speed up the system convergence and raises the protein concen-tration. However, the large values of η/α or κ/c may destabilize the system by incurring oscillatory behavior. Moreover, it leads to unnecessary energy waste caused by a higher probability of being active. Therefore, we recommend configuring η/α and κ/c our theoretical limit of stability condition, not only to accelerate the node coordination process but also to ensure that the system behaviors do not oscillate excessively.

IV. CONCLUSION

In this paper, we have presented a decentralized node coordination scheme for wireless sensor networking systems based on the GRN model in order to achieve energy saving while meeting performance requirements. We represent the coordination problem of on-off cycles of wireless sensor nodes by modifying gene regulation dynamics of multi-cellular mechanisms. Considering the measured delay and energy consumption level, the proposed scheme controls the expression level of gene and the concentration of protein in order to meet delay requirement while achieving energy balancing among sensor nodes. Compared to other existing protocols, the major merits of the proposed scheme are: (1) A theoretical gene regulation model for node coordination, which automatically drives the system performance to the desired requirement while balancing energy consumption levels under network condition changes; (2) insights into the performance of the proposed scheme are provided by deriving the steady states of the systems; (3) a theoretical analysis of the system’s stability is provided with the parameter conditions to ensure the desired performance of a specific application.

Some applications may have more strict requirements on delay but are less strict on delivery ratio, which can be solved by applying cognitive networks with delay constraints to WSN systems. These issues will be the subjects of our future work. Also, the proposed algorithm can be extended to the wireless cyber-physical systems. In the wireless cyber-physical systems, the actuator nodes that perform diverse tasks have been introduced, and the sensors and actuators can form a network. For the mission-critical applications, the proposed algorithm can be applied for the actuators to act responsively and accurately. However, the proposed scheme is in its infancy, and through our experiments, we identified a number of limitations. The first is that for more complex environment, it can take a large amount of time to converge to the desired global state. In addition, we need to investigate performance subject to the loss of a communication link or a noisy sensor variable. Finally, we need to implement the proposed scheme and test in a real WSN system.

Biography

Heejung Byun

Heejung Byun received the B.S. degree from Soongsil University, Korea, in 1999, the M.S. degree from Korea Advanced Institute of Science and Technology (KAIST), Korea, in 2001, and the Ph.D. degree from KAIST in 2005. She was a Senior Researcher in Samsung Advanced Institute of Technology and Samsung Electronics from 2007 to 2010. She is currently an Associate Professor with the Department of Information and Telecommunications Engineering, Suwon University, Korea. Her research interests include network protocol design, network modeling, controller design, and theoretical analysis.

References

  • 1 W. Ye, J. Heidemann, D. Estrin, "Medium access control with coordinated, adaptive sleeping for wireless sensor network," IEEE /ACM Trans. Netw., vol. 12, no. 3, pp. 493-506, 2004.custom:[[[-]]]
  • 2 P. Lin, C. Qiao, X. Wang, "Medium access control with a dynamic duty cycle for sensor networks," in Proc. IEEE WCNC, Mar, 2004.custom:[[[-]]]
  • 3 S. Yang, H. Tseng, E. Wu, G. Chen, "Utilization based duty cycle tuning MAC protocol for wireless sensor networks," in Proc. IEEE GLOBECOM, Nov, 2005.doi:[[[10.1109/GLOCOM.2005.1578377]]]
  • 4 X. Wang, G. Xing, Y. Yao, "Dynamic duty cycle control for end-toend delay guarantees in wireless sensor networks," in Proc. IWQoS, June, 2010.custom:[[[-]]]
  • 5 Z. Hong, R. Wang, X. Li, "A clustering-tree topology control based on the energy forecast for heterogeneous wireless sensor networks," IEEE /CAA J. Autom. Sinica, vol. 3, pp. 68-77, 2016.doi:[[[10.1109/JAS.2016.7373764]]]
  • 6 A. Razaque, K. M. Elleithy, "Nomenclature of medium access control protocol over wireless sensor networks," IETE Tech. Review, vol. 33, no. 2, pp. 160-171, 2016.doi:[[[10.1080/02564602.2015.1057769]]]
  • 7 Z. Fei, et al., "A study of multi-objective optimization in wireless sensor networks: Metrics, algorithms, and open problems," IEEE Commun. Surveys Tuts., vol. 19, no. 1, pp. 550-586, 2017.custom:[[[-]]]
  • 8 G. Singh, J. S. Bal, "A review of ant colony system algorithm and its models," International J. Advanced Research in Comput. Sci., vol. 24, no. 4, pp. 266-269, 2017.custom:[[[-]]]
  • 9 A. Razaque, K. Elleith, "Pheromone termite (PT) model to provide robust routing over wireless sensor networks," in Proc. ASEE Zone 1, Apr, 2014.doi:[[[10.1109/ASEEZone1.2014.6820662]]]
  • 10 K. Leibnitz, M. Murata, "Attractor selection and perturbation for robust networks in fluctuating environments," IEEE Netw., vol. 24, no. 3, pp. 1418-1418, 2010.doi:[[[10.1109/MNET.2010.5464222]]]
  • 11 Y. Song, L. Liu, H. Ma, A. Vasilakos, "A biology-based algorithm to minimal exposure problem of wireless sensor networks," IEEE Trans. Netw. Service Manage., vol. 11, no. 3, pp. 417-430, 2014.doi:[[[10.1109/TNSM.2014.2346080]]]
  • 12 C. Cheng, C. K. Tse, F. C. M. Lau, "A bio-inspired scheduling scheme for wireless sensor networks," in Proc. IEEE VTC, May, 2008.doi:[[[10.1109/VETECS.2008.58]]]
  • 13 L. T. Macneil, A. J. Walhout, "Gene regulatory networks and the role of robustness and stochasticity in the control of gene expression," Genome Research, 2011.doi:[[[10.1101/gr.97378.109]]]
  • 14 R. J. Prill, P. A, Iglesias, A. Levchenko, "Dynamic properties of network motifs contribute to biological network organization," Public Library Sci. Biology, vol. 3, no. 11, pp. 1881-1892, 2005.doi:[[[10.1371/journal.pbio.0030343]]]
  • 15 A. Nazi, M. Raj, M. D. Francesco, G. Preetan, S. K. Das, "Robust deployment of wireless sensor networks using gene regulatory networks," Distributed Computing and NetworkingLecture Notes in Computer Science, vol. 7730, pp. 192-207, 2013.custom:[[[-]]]
  • 16 S. Das, P, Koduru, X. Cai, S. Welch, V. Sarangan, "The gene regulatory network: an application to optimal coverage in sensor networks," Proc. ACM GECCO, July, 2008.doi:[[[10.1145/1389095.1389381]]]
  • 17 A. Markham, N. Trigoni, "Discrete gene regulatory networks (dgrns): A novel approach to configuring sensor networks," in Proc. IEEE INFOCOM, Mar, 2010.doi:[[[10.1109/INFCOM.2010.5462162]]]
  • 18 A. Markham, N. Trigoni, "The automatic evolution of distributed controller to configure sensor networks," Oxford Comput. J., vol. 54, no. 3, pp. 421-438, 2011.custom:[[[-]]]
  • 19 T. Taylor, "A genetic regulatory network-inspired real-time controller for a group of underwater robots," in Proc. Intelligent Autonomous Systems, 2014.custom:[[[-]]]
  • 20 P. Ghosh, M. Mayo, V. Chaitankar, T. Habib, S. Das, "Principles of genomic robustness inspire fault-tolerant WSN topologies: A network science based case study," in Proc. IEEE PerCom Workshop, Mar, 2011.custom:[[[-]]]
  • 21 H. Guo, Y. Meng, Y. Jin, "A cellular mechanism for multi-robot construction via evolutionary multi-objective optimization of a gene regulatory network," BioSytems, vol. 98, pp. 193-203, 2009.doi:[[[10.1016/j.biosystems.2009.05.003]]]
  • 22 H. Byun, J. Park, "A gene regulatory network-inspired self-organizing control for wireless sensor networks," International Journal of Distributed Sensor Networksp. 789434, vol. 11, no. 8, 2015.doi:[[[10.1155/2015/789434]]]
  • 23 S. Nolfi, D. Floreano, "Evolutionary robotics: The biology, intelligence and technology of self-organizing machine," MIT Press, 2000.custom:[[[-]]]
  • 24 A. M. Lyapunov, "Stability of motion," Academic Press (Translated from Russian), 1966.custom:[[[-]]]